Скачать ГОСТ Р 70829-2023 Кондиционеры, агрегатированные охладители жидкости и тепловые насосы с компрессорами с электрическим приводом для отопления/охлаждения помещений, коммерческого и технологического охлаждения. Испытания и оценка в условиях частичной нагрузки и расчет сезонной производительностиДата актуализации: 01.06.2025 ГОСТ Р 70829-2023
Кондиционеры, агрегатированные охладители жидкости и тепловые насосы с компрессорами с электрическим приводом для отопления/охлаждения помещений, коммерческого и технологического охлаждения. Испытания и оценка в условиях частичной нагрузки и расчет сезонной производительности
| Обозначение: |  ГОСТ Р 70829-2023 |
| Статус: | действующий |
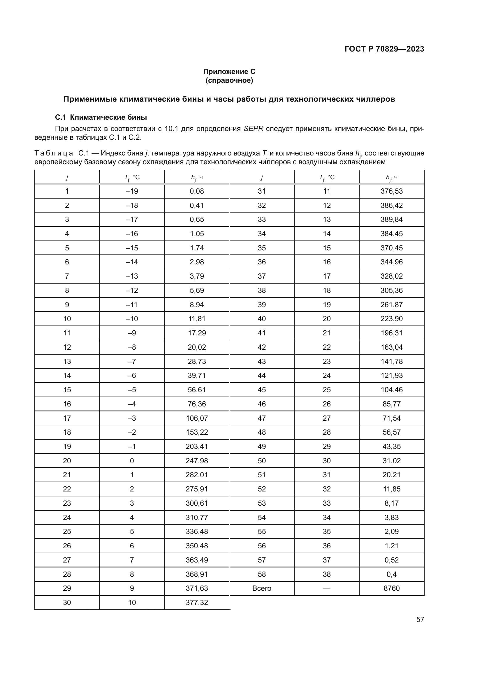
| Название рус.: | Кондиционеры, агрегатированные охладители жидкости и тепловые насосы с компрессорами с электрическим приводом для отопления/охлаждения помещений, коммерческого и технологического охлаждения. Испытания и оценка в условиях частичной нагрузки и расчет сезонной производительности | | Название англ.: | Air conditioners, liquid chilling packages and heat pumps with electrically driven compressors for space heating and cooling, commercial and process cooling. Testing and rating at part load conditions and calculation of seasonal performance | | Дата актуализации текста: | 01.01.2024 | | Дата актуализации описания: | 01.01.2024 | | Дата издания: | 16.08.2023 | | Дата введения: | 01.01.2024 | | Содержит требования: | DIN EN 14825-2019 | | Нормативные ссылки: | ГОСТ 33009.1; ГОСТ Р 54671-2011; ГОСТ Р 54820; ГОСТ Р 58541.2-2019; ГОСТ Р 58541.3-2019 | | Область применения: | Настоящий стандарт распространяется на кондиционеры, тепловые насосы и жидкостные охладительные агрегаты, включая оборудование для помещений с людьми и технологические чиллеры. Настоящий стандарт применим к агрегатам заводского изготовления, определенным в ГОСТ Р 54671, за исключением одноканальных, двухканальных агрегатов, охладителей электрошкафов и специальных агрегатов Настоящий стандарт распространяется также на гибридные тепловые насосы, подходящие под требования настоящего стандарта | |
                                                                                             
|