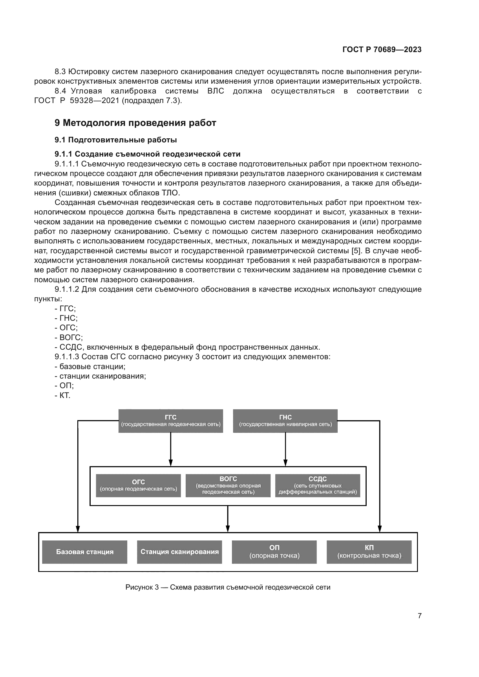
| Обозначение: |  ГОСТ Р 70689-2023 |
| Статус: | действующий |
| Название рус.: | Дороги автомобильные общего пользования. Лазерное сканирование. Общие требования к проведению работ |
| Название англ.: | Automobile roads of general use. Laser scanning. General requirements for work |
| Дата актуализации текста: | 01.01.2024 |
| Дата актуализации описания: | 01.01.2024 |
| Дата издания: | 17.08.2023 |
| Дата введения: | 01.09.2023 |
| Нормативные ссылки: | ГОСТ 12.0.230-2007; ГОСТ 12.4.281-2021; ГОСТ 11897 ; ГОСТ 32869-2014 ; ГОСТ Р 21.301; ГОСТ Р 53606-2009; ГОСТ Р 57371-2016; ГОСТ Р 58350; ГОСТ Р 59328-2021; ГОСТ Р 59562; ГОСТ Р 70690-2023 |
| Область применения: | Настоящий стандарт устанавливает общие требования к выполнению лазерного сканирования автомобильных дорог (в том числе автомагистралей), искусственных сооружений, объектов дорожной и придорожной инфраструктуры на всех этапах жизненного цикла автомобильной дороги. Настоящий стандарт предназначен для использования организациями-заказчиками, проектно-изыскательскими, строительными и эксплуатирующими организациями, ведущими деятельность в сфере дорожного хозяйства |
|