Скачать ГОСТ Р 70432-2023 Трубопроводы атомных станций, подверженные эрозионно-коррозионному износу. Методики расчета допустимых и прогнозируемых толщин стенокДата актуализации: 01.06.2025 ГОСТ Р 70432-2023
Трубопроводы атомных станций, подверженные эрозионно-коррозионному износу. Методики расчета допустимых и прогнозируемых толщин стенок
| Обозначение: |  ГОСТ Р 70432-2023 |
| Статус: | действующий |
| Название рус.: | Трубопроводы атомных станций, подверженные эрозионно-коррозионному износу. Методики расчета допустимых и прогнозируемых толщин стенок | | Название англ.: | Pipelines of nuclear power plants subject to flow accelerated corrosion. Methods for calculating allowable and predicted wall thicknesses | | Дата актуализации текста: | 01.01.2024 | | Дата актуализации описания: | 01.01.2024 | | Дата издания: | 25.08.2023 | | Дата введения: | 01.08.2023 | | Нормативные ссылки: | ГОСТ Р 50.05.03-2018; ГОСТ Р 59115.7-2021; ГОСТ Р 59115.9-2021; ГОСТ Р 59115.11-2021; ГОСТ Р 59115.15-2021 | | Область применения: | Настоящий стандарт распространяется на основной металл трубопроводов атомных станций: - номинальными диаметрами от 14 до 1620 мм; - эксплуатирующиеся: при температуре от 40 °С до 350 °С, при внутреннем избыточном давлении от 0,3 до 22,0 МПа, со скоростью потока среды более 2 м/с; - относящиеся к классам безопасности 2, 3, 4, согласно федеральным нормам и правилам в области использования атомной энергии [1]; - изготовленные из углеродистых, кремнемарганцовистых сталей, а также легированных сталей с массовой долей хрома менее 1 % [2]; - подверженные эрозионно-коррозионному износу и предназначенные для транспортирования пара или горячей воды | |
                  
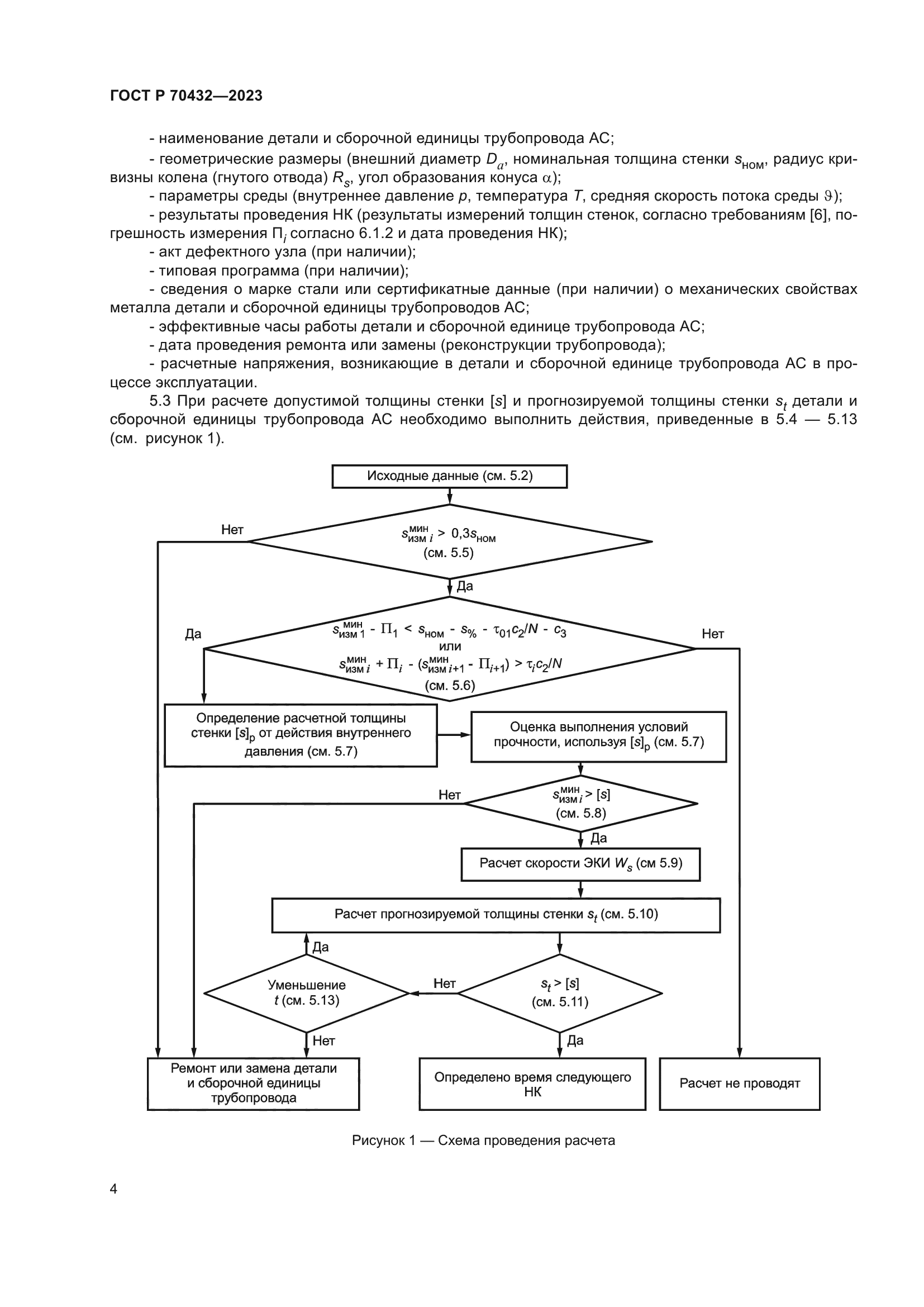
|