| Обозначение: |  ГОСТ Р 70827-2023 |
| Статус: | действующий |
| Название рус.: | Системы противодымной вентиляции стоянок автомобилей. Метод испытаний при имитации пожара с использованием горячего дыма |
| Название англ.: | Smoke ventilation systems for parking. Test method for simulating a fire using hot smoke |
| Дата актуализации текста: | 01.01.2024 |
| Дата актуализации описания: | 01.01.2024 |
| Дата издания: | 26.07.2023 |
| Дата введения: | 01.08.2023 |
| Нормативные ссылки: | ГОСТ 12.4.296; ГОСТ 2222-95; ГОСТ 6616; ГОСТ 17299; ГОСТ 28243;ГОСТ ISO 5802-2012; ГОСТ Р 51057; ГОСТ Р 53264-2019; ГОСТ Р 53300-2009; ГОСТ Р ИСО 14644-3-2020;СП 2.13130.2020;СП 300.1325800.2017 |
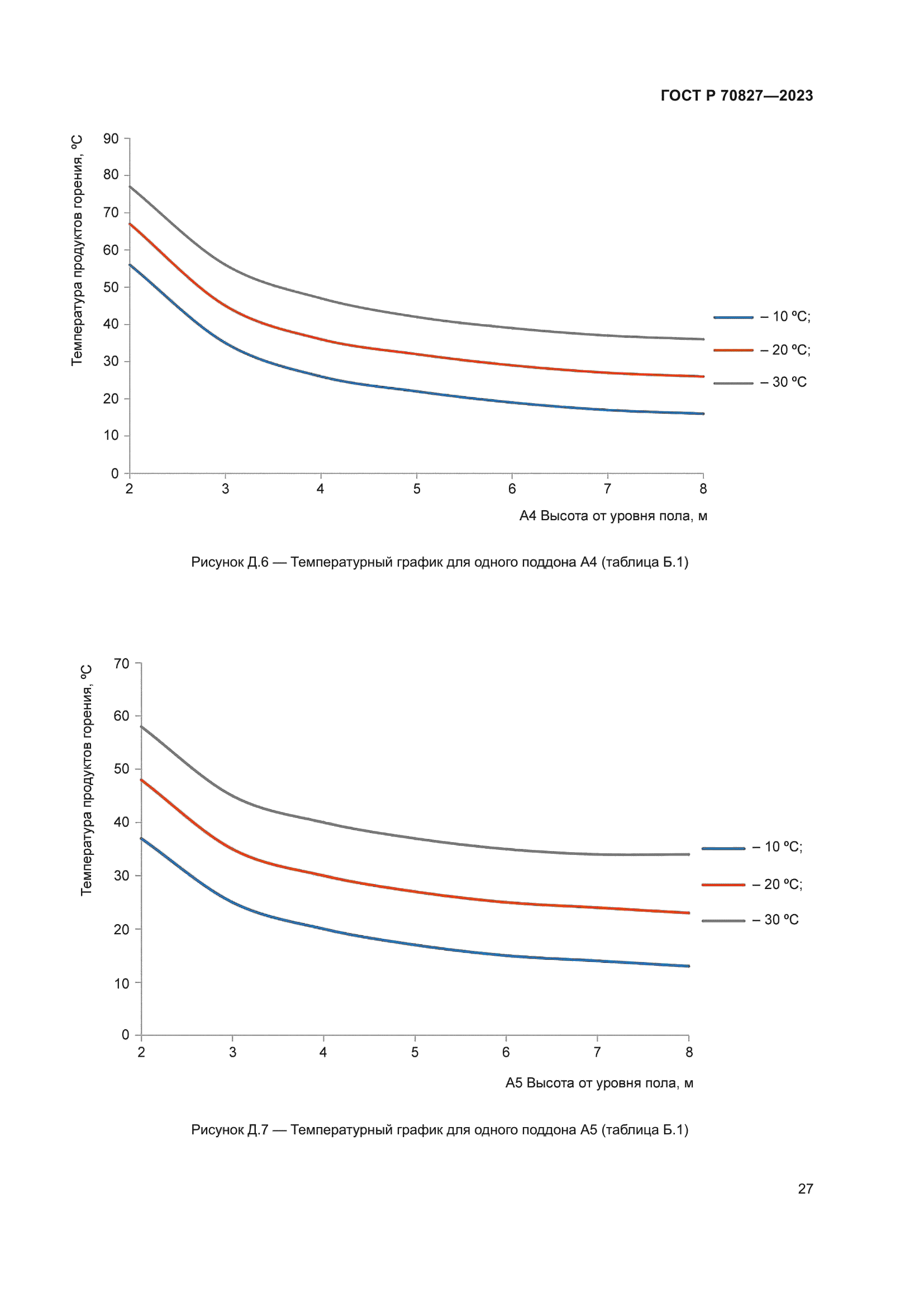
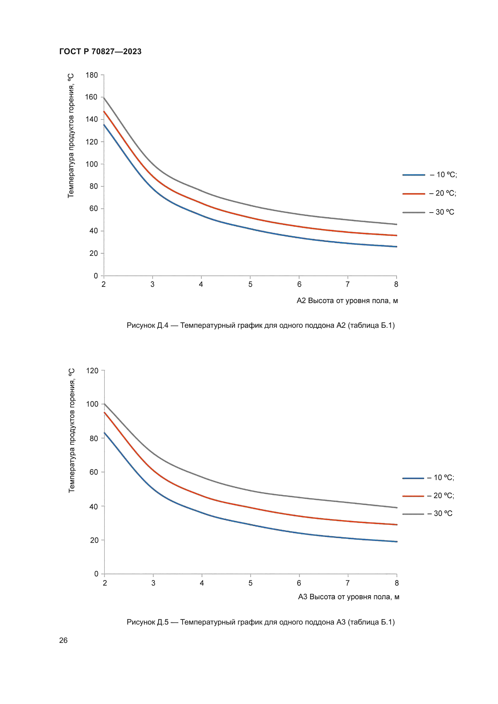
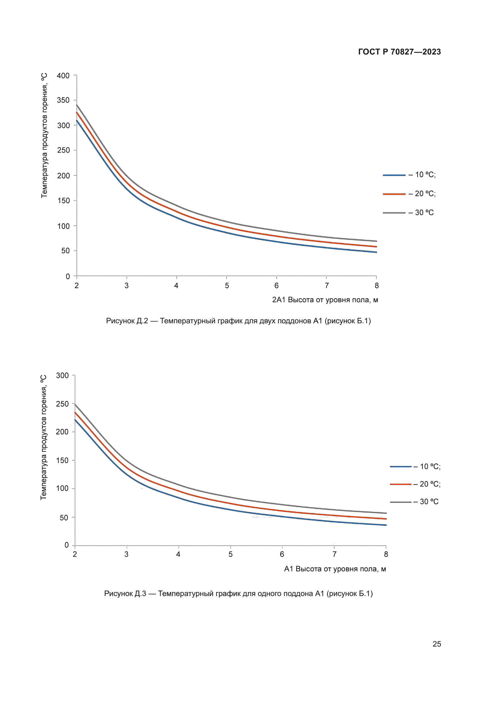
| Область применения: | Настоящий стандарт распространяется на системы противодымной приточно-вытяжной вентиляции с механическим побуждением тяги на подземных стоянках автомобилей и надземных стоянках автомобилей закрытого типа (далее — стоянки автомобилей) и устанавливает метод пожарного испытания горячим дымом (ИГД). Настоящий стандарт не распространяется на системы приточно-вытяжной противодымной вентиляции стоянок автомобилей с естественным побуждением тяги. Применение настоящего стандарта не обязательно для систем противодымной вентиляции стоянок автомобилей, завершенных строительством |
|