| Обозначение: |  ГОСТ 7619-2023 |
| Статус: | действующий |
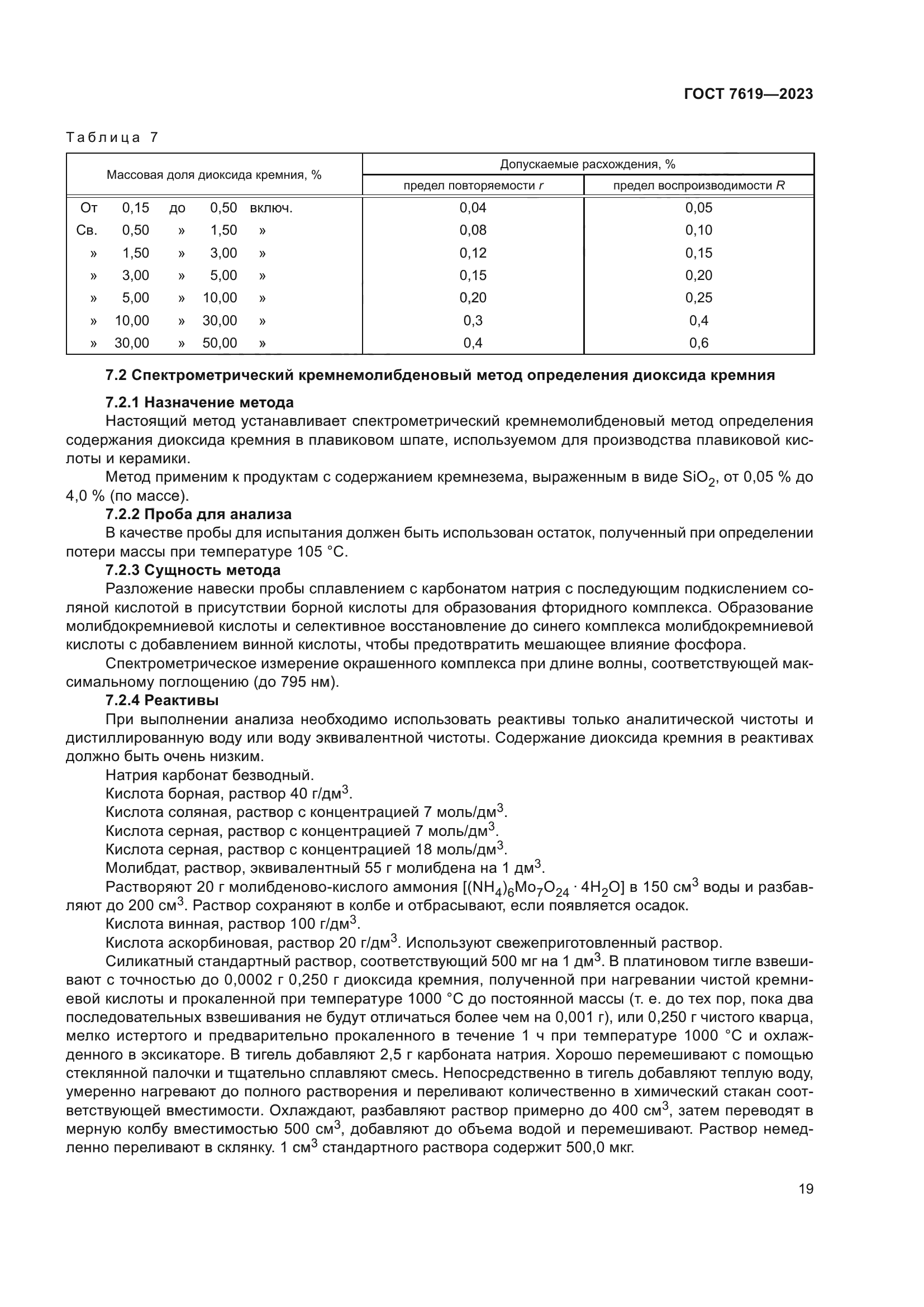
| Название рус.: | Шпат плавиковый. Методы физико-химического анализа |
| Название англ.: | Fluorite. Methods of physicochemical analysis |
| Дата актуализации текста: | 01.01.2024 |
| Дата актуализации описания: | 01.01.2024 |
| Дата регистрации: | 31.05.2023 |
| Дата издания: | 05.07.2023 |
| Дата введения: | 01.11.2023 |
| Взамен: | ГОСТ 7619.0-81; ГОСТ 7619.1-74; ГОСТ 7619.2-81; ГОСТ 7619.3-81; ГОСТ 7619.4-81; ГОСТ 7619.5-81; ГОСТ 7619.6-81; ГОСТ 7619.7-81; ГОСТ 7619.8-81; ГОСТ 7619.9-81; ГОСТ 7619.10-75; ГОСТ 7619.11-77; ГОСТ 7619.12-77; ГОСТ 7619.13-91; ГОСТ 19724-74 |
| Нормативные ссылки: | ГОСТ 12.1.004; ГОСТ 12.1.005; ГОСТ 12.1.007; ГОСТ 61; ГОСТ 83; ГОСТ 195; ГОСТ 1277; ГОСТ 1381; ГОСТ 2821; ГОСТ 3118; ГОСТ 3158; ГОСТ 3306; ГОСТ 3760; ГОСТ 3765; ГОСТ 3776; ГОСТ 4160; ГОСТ 4165; ГОСТ 4198; ГОСТ 4199; ГОСТ 4204; ГОСТ 4208; ГОСТ 4212; ГОСТ 4221; ГОСТ 4232; ГОСТ 4234; ГОСТ 4328; ГОСТ 4332; ГОСТ 4461; ГОСТ 4463; ГОСТ 4478; ГОСТ 4530; ГОСТ 4919.1; ГОСТ 6344; ГОСТ 6563; ГОСТ 6613; ГОСТ 6616; ГОСТ 6709; ГОСТ 9147; ГОСТ 9656; ГОСТ 10163; ГОСТ Р 58144-2018; ГОСТ 10484; ГОСТ 10652; ГОСТ 10929; ГОСТ 11293; ГОСТ 14180-80; ГОСТ 19627; ГОСТ 20448; ГОСТ 20490; ГОСТ 22867; ГОСТ 25336; ГОСТ 25664; ГОСТ 27068; ГОСТ 29220 |
| Область применения: | Настоящий стандарт распространяется на шпат плавиковый и устанавливает общие требования к методам химического анализа и методу определения гранулометрического состава |
|