Скачать ГОСТ Р ИСО 14644-16-2023 Чистые помещения и связанные с ними контролируемые среды. Часть 16. Энергоэффективность чистых помещений и устройств очистки воздухаДата актуализации: 01.06.2025 ГОСТ Р ИСО 14644-16-2023
Чистые помещения и связанные с ними контролируемые среды. Часть 16. Энергоэффективность чистых помещений и устройств очистки воздуха
| Обозначение: |  ГОСТ Р ИСО 14644-16-2023 |
| Статус: | действующий |
| Название рус.: | Чистые помещения и связанные с ними контролируемые среды. Часть 16. Энергоэффективность чистых помещений и устройств очистки воздуха | | Название англ.: | Cleanrooms and associated controlled environments. Part 16. Energy efficiency in cleanrooms and clean air devices | | Дата актуализации текста: | 01.07.2023 | | Дата актуализации описания: | 01.01.2024 | | Дата издания: | 10.05.2023 | | Дата введения: | 01.01.2024 | | Аутентичен стандартам: | ISO 14644-16:2019 | | Нормативные ссылки: | ISO 50001 | | Область применения: | Настоящий стандарт содержит руководство и рекомендации по оптимизации использования энергии и поддержанию энергоэффективности в новых и существующих чистых помещениях, чистых зонах и изолирующих устройствах. Он дает рекомендации по проектированию, строительству, вводу в эксплуатацию и эксплуатации чистых помещений. Стандарт включает все особенности, характерные для чистых помещений, и может использоваться в различных областях для оптимизации использования энергии в электронной, аэрокосмической, ядерной, фармацевтической, медицинской, пищевой промышленности, в больницах и других областях применения чистых помещений. Даны также рекомендации по критериям оценки и сравнения энергоэффективности чистых помещений с учетом выполнения требований ИСО 14644 ([2], [3]) | |
                                        
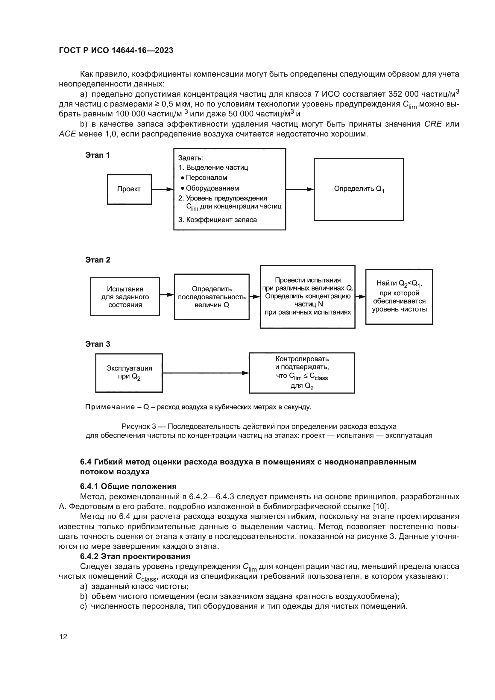
|