| Обозначение: |  ГОСТ Р 51317.4.2-99 |
| Статус: | заменён |
| Название рус.: | Совместимость технических средств электромагнитная. Устойчивость к электростатическим разрядам. Требования и методы испытаний |
| Название англ.: | Electromagnetic compatibility of technical equipment. Immunity to electrostatic discharge. Requirements and test methods |
| Дата актуализации текста: | 06.04.2015 |
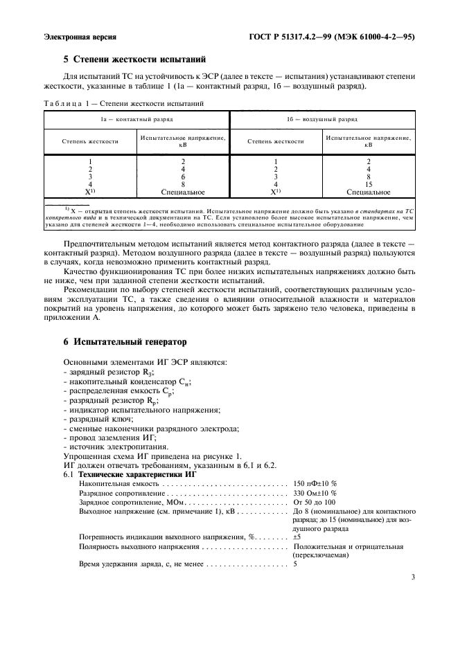
| Дата актуализации описания: | 01.07.2023 |
| Дата издания: | 01.06.2001 |
| Дата введения: | 01.01.2001 |
| Дата окончания срока действия: | 01.01.2011 |
| Заменяющий: | ГОСТ Р 51317.4.2-2010 |
| Содержит требования: | IEC 61000-4-2(1995) |
| Нормативные ссылки: | ГОСТ 14777-76; ГОСТ 30372-95; ГОСТ Р 8.568-97; ГОСТ Р 50397-92; ГОСТ Р 51318.22-99 |
| Область применения: | Настоящий стандарт распространяется на элетротехнические, электронные и радиоэлектронные изделия и оборудование и устанавливает требования и методы испытаний технических средств (ТС) на устойчивость к электростатическим разрядам (ЭСР) как при прямом воздействии ЭСР от оператора, так и непрямом воздействии от оператора на расположенные вблизи ТС предметы и оборудование |
|