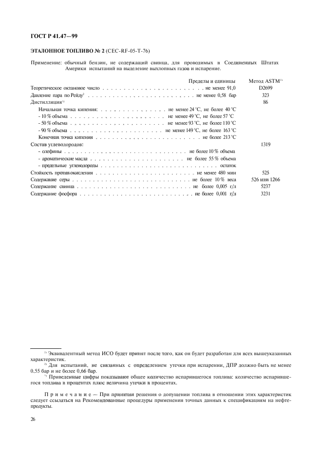
Скачать ГОСТ Р 41.47-99 Единообразные предписания, касающиеся официального утверждения мопедов, оборудованных двигателями с принудительным зажиганием, в отношении выделяемых двигателем загрязняющих выхлопных газовДата актуализации: 01.06.2025 ГОСТ Р 41.47-99
Единообразные предписания, касающиеся официального утверждения мопедов, оборудованных двигателями с принудительным зажиганием, в отношении выделяемых двигателем загрязняющих выхлопных газов
| Обозначение: |  ГОСТ Р 41.47-99 |
| Статус: | отменён |
| Название рус.: | Единообразные предписания, касающиеся официального утверждения мопедов, оборудованных двигателями с принудительным зажиганием, в отношении выделяемых двигателем загрязняющих выхлопных газов | | Название англ.: | Uniform provisions concerning the approval of mopeds equipped with a positive-ignition engine with regard to the emission of gaseous pollutants by the engine | | Дата актуализации текста: | 06.04.2015 | | Дата актуализации описания: | 01.07.2023 | | Дата издания: | 11.08.2000 | | Дата введения: | 01.07.2000 | | Дата окончания срока действия: | 01.09.2018 | | Код ОКП: | 452850 | | Содержит требования: | Правила EEC UN № 47 | | Область применения: | Настоящие Правила применяют к выхлопным газам, которые выделяются двигателями с принудительным зажиганием, установленными на двух- или трехколесных транспортных средствах, у которых вес без нагрузки меньше 400 кг, расчетная скорость не больше 50 км/ч и/или рабочий обьем двигателя не больше 50 куб. см | | Список изменений: | №0 от 31.08.2018 (рег. 18.07.2018) «Текстовое изменение; Изменено заглавие» | |
                             
|