Скачать ГОСТ 30245-2003 Профили стальные гнутые замкнутые сварные квадратные и прямоугольные для строительных конструкций. Технические условияДата актуализации: 01.06.2025
| ||||||||||||||||||||||||||||||||||||
| Обозначение: | ![]() ГОСТ 30245-2003 |
| Статус: | действующий |
| Название рус.: | Профили стальные гнутые замкнутые сварные квадратные и прямоугольные для строительных конструкций. Технические условия |
| Название англ.: | Steel bent closed welded square and rectangular section for building. Specifications |
| Дата актуализации текста: | 01.01.2022 |
| Дата актуализации описания: | 01.07.2023 |
| Дата регистрации: | 22.10.2003 |
| Дата издания: | 01.04.2008 |
| Дата введения: | 01.10.2003 |
| Код ОКП: | 526000 |
| Взамен: | ГОСТ 30245-94 |
| Нормативные ссылки: | ГОСТ 166-89; ГОСТ 427-75; ГОСТ 1050-88; ГОСТ 3242-79; ГОСТ 5264-80; ГОСТ 5378-88; ГОСТ 7502-98; ГОСТ 7566-94; ГОСТ 8713-79; ГОСТ 14637-89; ГОСТ 15150-69; ГОСТ 16523-97; ГОСТ 17066-94; ГОСТ 19281-89; ГОСТ 19903-74; ГОСТ 27772-88 |
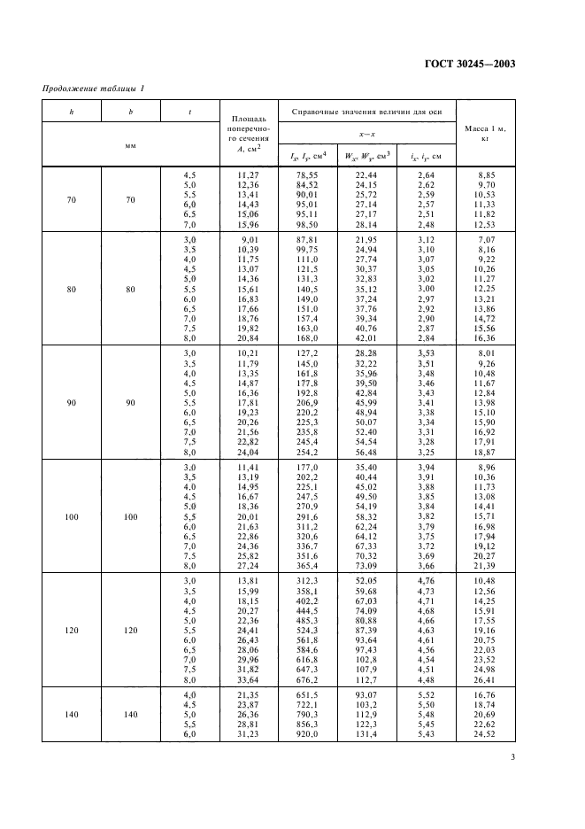
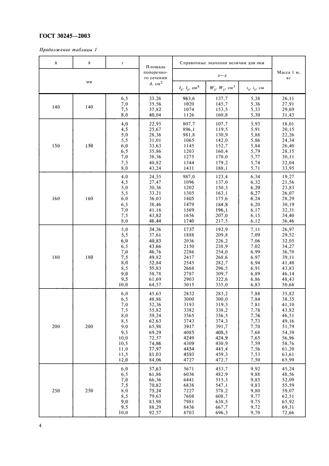
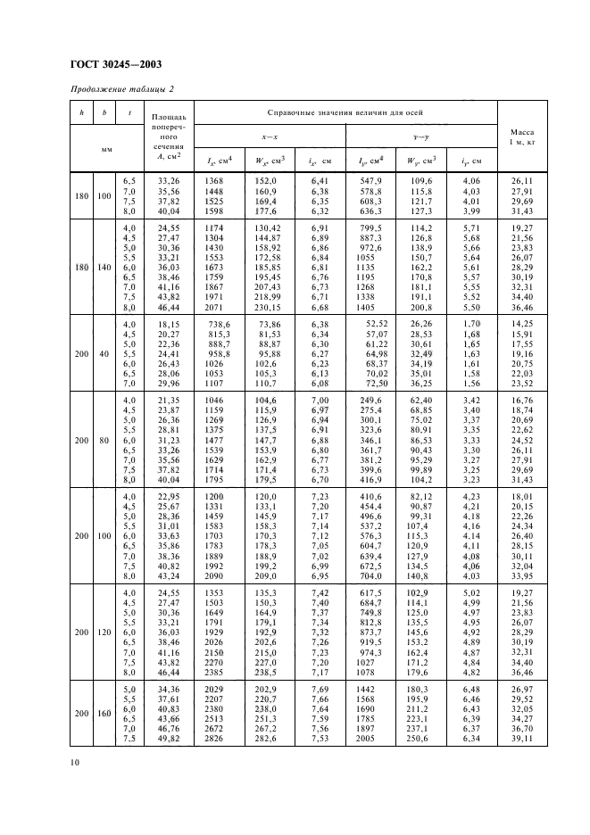
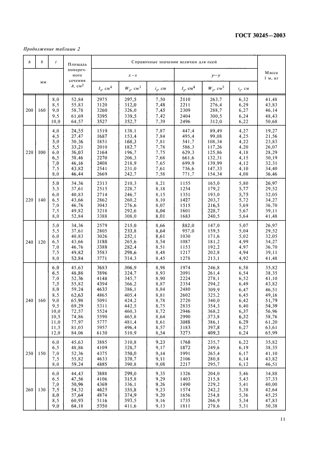
| Область применения: | Настоящий стандарт распространяется на стальные гнутые замкнутые сварные квадратные и прямоугольные профили, предназначенные для строительных стальных конструкций. Профили изготовляют на специализированных станах путем формирования круглого трубчатого сечения с продольным сварным швом и последующим обжатием валками в квадратный или прямоугольный профиль |
| Список изменений: | №0 от 30.09.2014 (рег. 29.09.2014) «Отменен» №0 от 01.01.2016 (рег. 03.11.2015) «Отменен» №0 от 30.06.2018 (рег. 20.12.2016) «Отменен» №0 от 01.01.2019 (рег. 28.06.2018) «Отменен» |
| Приложение №1: | Поправка к ГОСТ 30245-2003 |




















| Обозначение: | Поправка к ГОСТ 30245-2003 |
| Дата введения: | 28.05.2021 |
