| Обозначение: |  ГОСТ 22092-76 |
| Статус: | действующий |
| Название рус.: | Нити полиамидные. Метод определения неравномерности окрашивания |
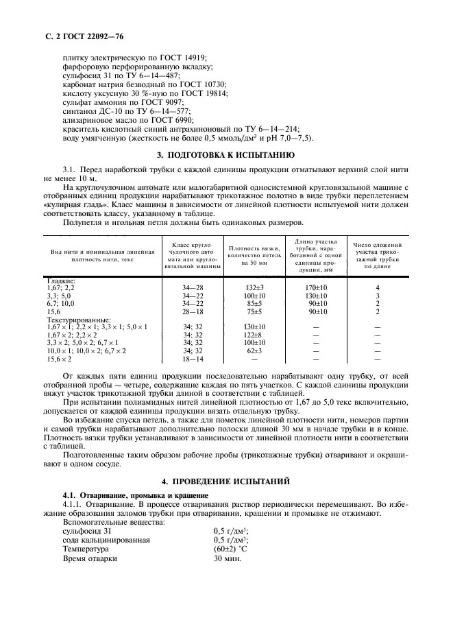
| Название англ.: | Polyamide fibres. Method for determination of colour unevennessin |
| Дата актуализации текста: | 06.04.2015 |
| Дата актуализации описания: | 01.07.2023 |
| Дата издания: | 01.03.2001 |
| Дата введения: | 01.07.1978 |
| Нормативные ссылки: | ГОСТ 6611.0-73; ГОСТ 6990-75; ГОСТ 9097-82; ГОСТ 10681-75; ГОСТ 10730-82; ГОСТ 14919-83; ГОСТ 19814-74; ГОСТ 24104-88; ГОСТ 28498-90; ГОСТ 29227-91;ТУ 6-14-214-69;ТУ 6-14-487-87;ТУ 6-14-577-77;ТУ 16-531-097-67 |
| Область применения: | Настоящий стандарт распространяется на полиамидные нити (мононити, гладкие и текстурированные комплексные) и устанавливает метод определения межпаковочной неравномерности окрашивания нитей. Стандарт не распространяется на капроновые профилированные нити |
| Список изменений: | №1 от 31.05.1983 (рег. 07.01.1983) «Срок действия продлен» №2 от 01.06.1988 (рег. 23.12.1987) «Поправка» |
|