Скачать ГОСТ Р 56188.3.201-2023 Технологии топливных элементов. Часть 3-201. Стационарные энергоустановки на основе топливных элементов. Методы испытаний для определения рабочих характеристик энергоустановок малой мощностиДата актуализации: 01.06.2025 ГОСТ Р 56188.3.201-2023
Технологии топливных элементов. Часть 3-201. Стационарные энергоустановки на основе топливных элементов. Методы испытаний для определения рабочих характеристик энергоустановок малой мощности
| Обозначение: |  ГОСТ Р 56188.3.201-2023 |
| Статус: | действующий |
| Название рус.: | Технологии топливных элементов. Часть 3-201. Стационарные энергоустановки на основе топливных элементов. Методы испытаний для определения рабочих характеристик энергоустановок малой мощности | | Название англ.: | Fuel cell technologies. Part 3-201. Stationary fuel cells power stations. Performance tests methods for small fuel cells power stations | | Дата актуализации текста: | 01.07.2023 | | Дата актуализации описания: | 01.07.2023 | | Дата издания: | 07.04.2023 | | Дата введения: | 31.05.2023 | | Содержит требования: | IEC 62282-3-201(2017) | | Нормативные ссылки: | ГОСТ 30804.4.2; ГОСТ 30804.4.11; ГОСТ 30804.6.1-2013; ГОСТ 31369-2021; ГОСТ 31371.1; ГОСТ 31371.2; ГОСТ 31371.3; ГОСТ 31371.4; ГОСТ 31371.5; ГОСТ 31371.6; ГОСТ 31371.7; ГОСТ 31859;ГОСТ IEC 61000-3-2;ГОСТ IEC 61000-4-3;ГОСТ IEC 61000-4-4;ГОСТ IEC 61000-4-5;ГОСТ IEC 61000-4-8; ГОСТ Р 51317.4.6; ГОСТ Р 53188.1; ГОСТ Р 56188.1; ГОСТ Р ИСО 9000; ГОСТ Р МЭК 62282-3-200-2014 | | Область применения: | В настоящем стандарте приведены методы испытаний для определения электрических, теплотехнических и экологических характеристик стационарных энергоустановок малой мощности на основе топливных элементов (далее – энергоустановка на основе топливных элементов), которые удовлетворяют следующим критериям: - мощность: номинальная выходная электрическая мощность менее 10 кВт; - режим генерации: работа с подключением к сети, независимая работа, автономная работа с однофазным выходным напряжением переменного тока, трехфазным выходным напряжением переменного тока не более 1000 В, с выходным напряжением постоянного тока не более 1500 В. - рабочее давление: максимально допустимое рабочее давление менее 0,1 МПа (избыточное) для трактов топлива и окислителя; - топливо: газообразное топливо (природный газ, сжиженный нефтяной газ, пропан, бутан, водород и др.) или жидкое топливо (керосин, метанол и др.); - окислитель: воздух. В настоящем стандарте представлены только типовые испытания и методы проведения этих испытаний, отсутствуют требования по проведению контрольных испытаний и не установлены целевые показатели рабочих характеристик. Настоящий стандарт распространяется на энергоустановки на основе топливных элементов, определяющим назначением которых является производство электроэнергии, а дополнительным назначением может быть утилизация сопутствующего тепла. Соответственно, энергоустановки на основе топливных элементов, для которых использование тепла является основной задачей, а применение сопутствующей электроэнергии – дополнительной задачей, не подпадают под действие настоящего стандарта. Действие настоящего стандарта не распространяется на все энергоустановки на основе топливных элементов со встроенными аккумуляторами, в том числе те энергоустановки, в которых аккумуляторы заряжаются внутри установки или от внешнего источника. Настоящий стандарт не распространяется на дополнительные вспомогательные генераторы тепла, производящие тепловую энергию | |
                                                                    
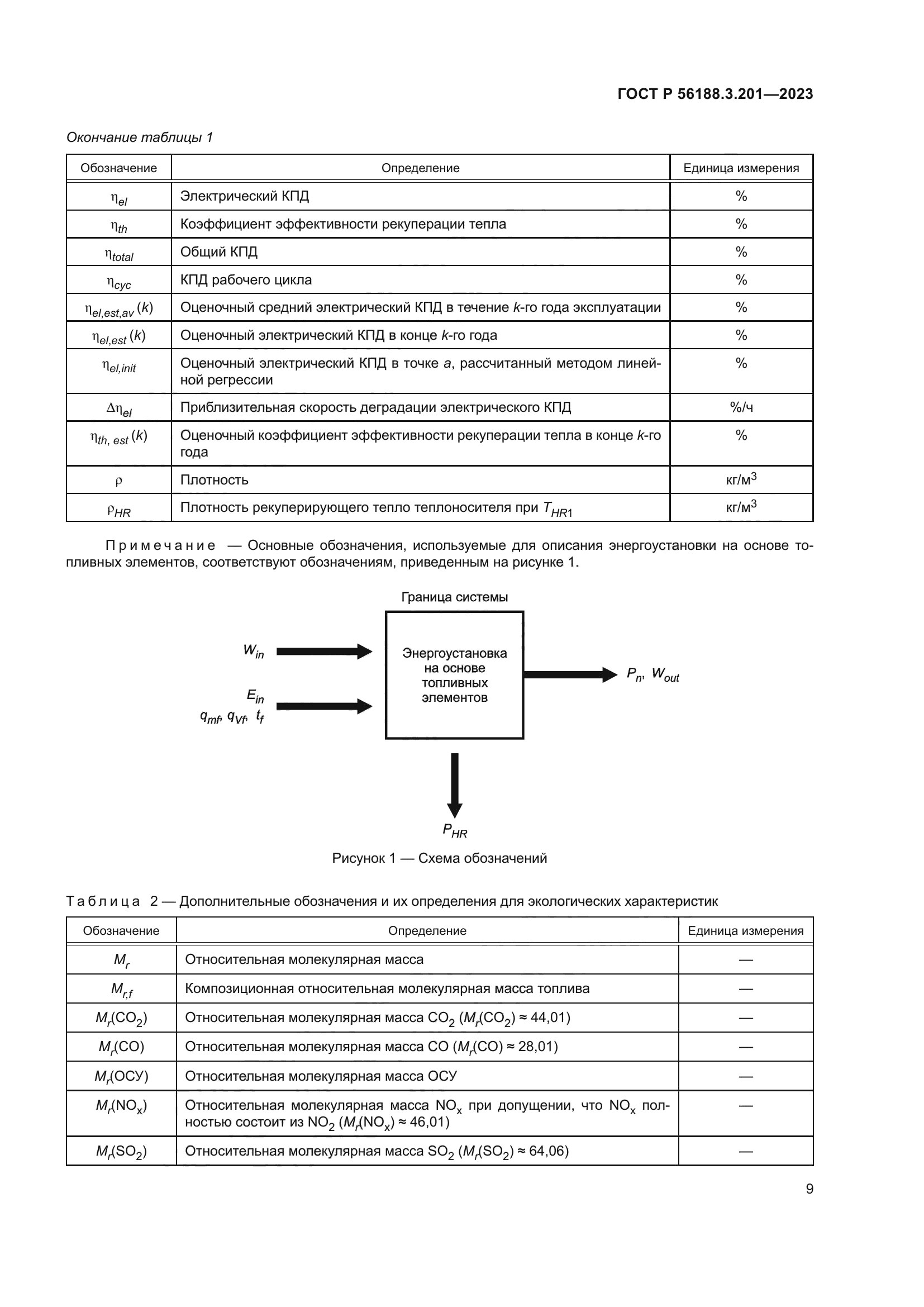
|