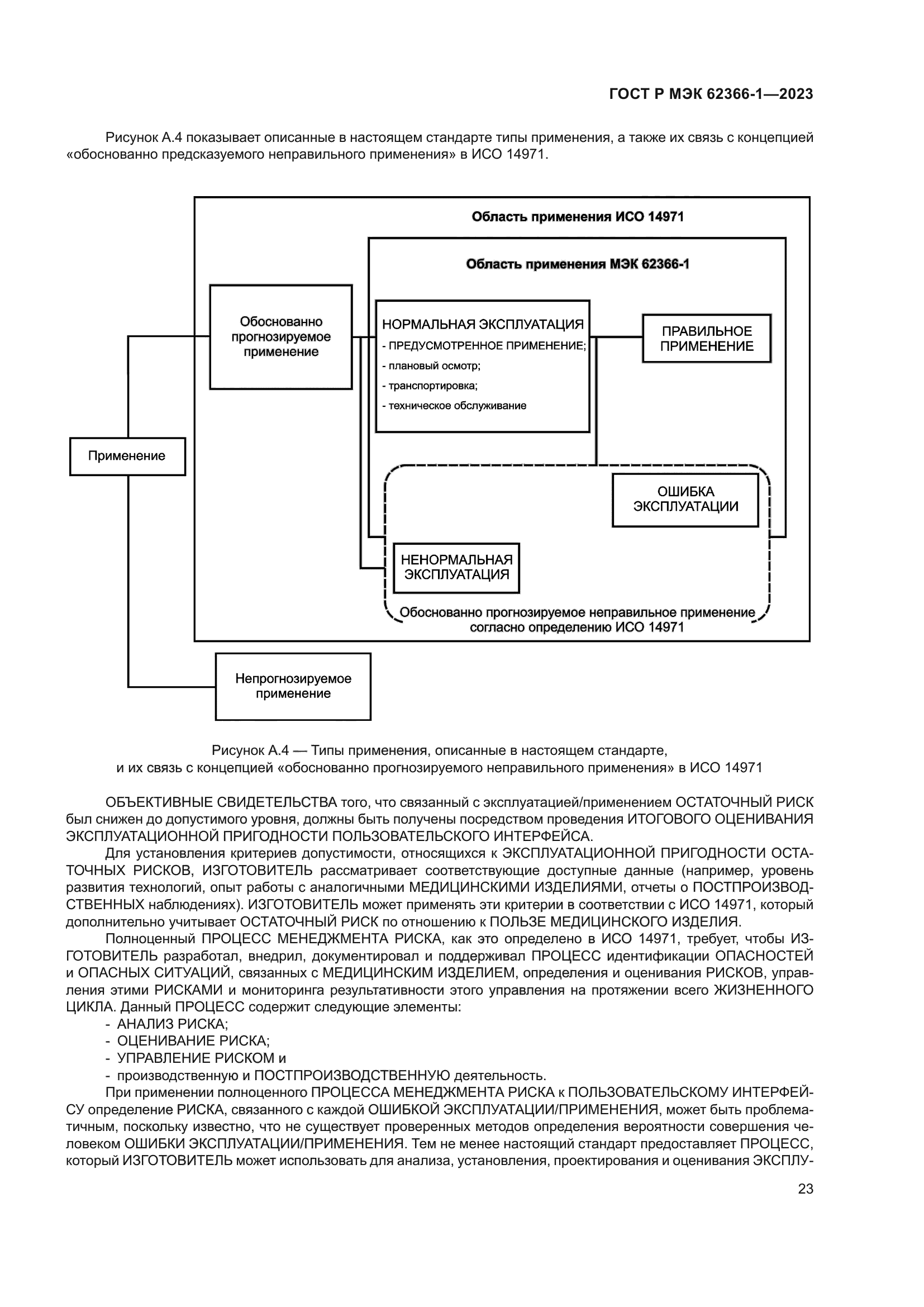
Скачать ГОСТ Р МЭК 62366-1-2023 Изделия медицинские. Часть 1. Проектирование медицинских изделий с учетом эксплуатационной пригодностиДата актуализации: 01.06.2025 ГОСТ Р МЭК 62366-1-2023
Изделия медицинские. Часть 1. Проектирование медицинских изделий с учетом эксплуатационной пригодности
| Обозначение: |  ГОСТ Р МЭК 62366-1-2023 |
| Статус: | действующий |
| Название рус.: | Изделия медицинские. Часть 1. Проектирование медицинских изделий с учетом эксплуатационной пригодности | | Название англ.: | Medical devices. Part 1. Application of usabilityengineering to medical devices | | Дата актуализации текста: | 01.07.2023 | | Дата актуализации описания: | 01.01.2024 | | Дата издания: | 28.03.2023 | | Дата введения: | 01.11.2023 | | Взамен: | ГОСТ Р МЭК 62366-1-2021 | | Аутентичен стандартам: | IEC 62366-1(2020) | | Нормативные ссылки: | ISO 14971:2019 | | Область применения: | Настоящий стандарт устанавливает требования к процессу, выполняемому изготовителем для анализа, конкретизации, разработки и оценивания эксплуатационной пригодности медицинского изделия в части, имеющей отношение к безопасности. Процесс проектирования с учетом эксплуатационной пригодности (человеческого фактора) позволяет изготовителю оценивать и снижать риски, связанные с правильной эксплуатацией/применением и ошибкой применения. Настоящий стандарт может применяться для идентификации, но не для оценки или снижения рисков, связанных с ненормальной эксплуатацией | |
                                                    
|