| Обозначение: |  ГОСТ Р 70675-2023 |
| Статус: | действующий |
| Название рус.: | Системы менеджмента безопасности труда и охраны здоровья. Руководство по оценке риска для здоровья работников |
| Название англ.: | Occupational safety and health management systems. Human health risk assessment guide |
| Дата актуализации текста: | 01.07.2023 |
| Дата актуализации описания: | 01.07.2023 |
| Дата издания: | 21.03.2023 |
| Дата введения: | 01.05.2023 |
| Нормативные ссылки: | ГОСТ Р ИСО 31000; ГОСТ Р ИСО 45001; ГОСТ Р 59240 |
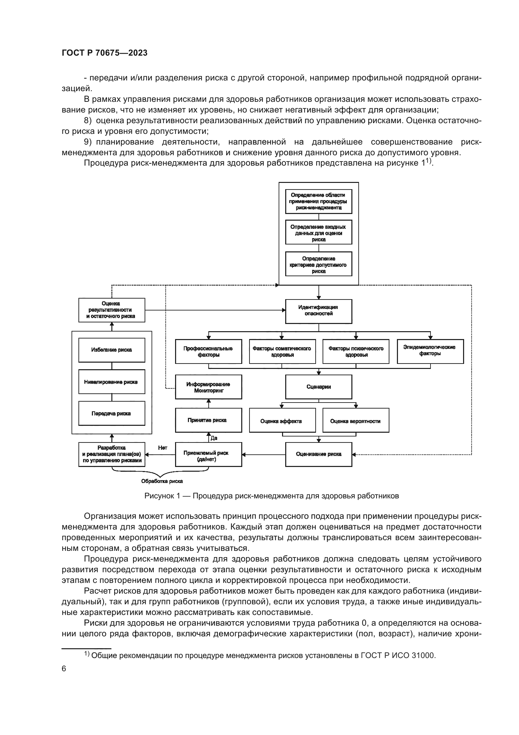
| Область применения: | Настоящий стандарт устанавливает требования к организации риск-менеджмента для здоровья работников. Целью настоящего стандарта является формирование системного подхода к проведению риск-менеджмента для здоровья работников в соответствии с требованиями ГОСТ Р 59240 в части идентификации, анализа, сравнительной оценки рисков, а также мероприятий по снижению рисков для здоровья работников на основе применения научно обоснованных, современных принципов и методов, а также непрерывного совершенствования деятельности в области охраны здоровья |
|