| Обозначение: |  ГОСТ Р 42.3.05-2023 |
| Статус: | действующий |
| Название рус.: | Гражданская оборона. Технические средства оповещения населения. Протоколы информационного обмена. Общие требования |
| Название англ.: | Civil defense. Technical means of public notification. Information exchange protocols. General requirements |
| Дата актуализации текста: | 01.07.2023 |
| Дата актуализации описания: | 01.07.2023 |
| Дата издания: | 22.03.2023 |
| Дата введения: | 01.06.2023 |
| Нормативные ссылки: | ГОСТ 34.10; ГОСТ 34.12; ГОСТ 34.13; ГОСТ Р 42.3.01; ГОСТ Р 51583; ГОСТ Р 54458; ГОСТ Р 58668.11; ГОСТ Р ИСО/МЭК 7498-1 |
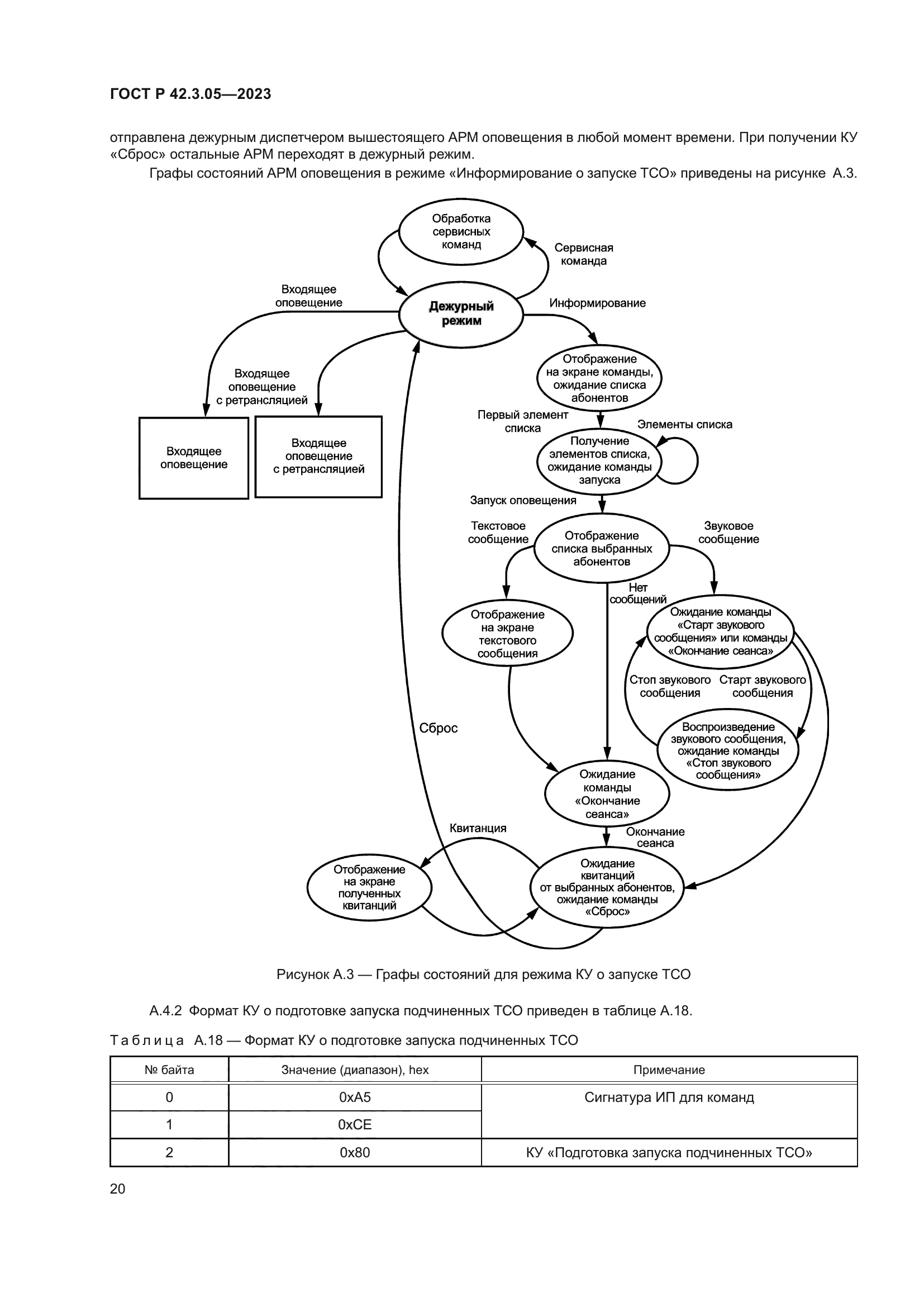
| Область применения: | Настоящий стандарт распространяется на технические средства оповещения населения (ТСО), предназначенные для использования в составе систем оповещения населения и обеспечения своевременного доведения сигналов оповещения и экстренной информации об опасностях, возникающих при угрозе возникновения или возникновении чрезвычайных ситуаций природного и техногенного характера, а также при ведении военных действий или вследствие этих действий. Настоящий стандарт устанавливает общие требования к протоколам информационного обмена ТСО различных производителей. Положения настоящего стандарта дополняют требования ГОСТ Р 42.3.01, в части требований к ТСО и применяются для находящихся в эксплуатации и вновь разрабатываемых (модернизируемых) ТСО в целях обеспечения единого информационного обмена в системах опопвещения населения всех уровней |
|