Скачать ГОСТ Р 58092.3.2-2023 Системы накопления электрической энергии. Проектирование и оценка рабочих параметров. Применения с преимущественным использованием мощности и интеграция с возобновляемыми источниками энергииДата актуализации: 01.06.2025 ГОСТ Р 58092.3.2-2023
Системы накопления электрической энергии. Проектирование и оценка рабочих параметров. Применения с преимущественным использованием мощности и интеграция с возобновляемыми источниками энергии
| Обозначение: |  ГОСТ Р 58092.3.2-2023 |
| Статус: | действующий |
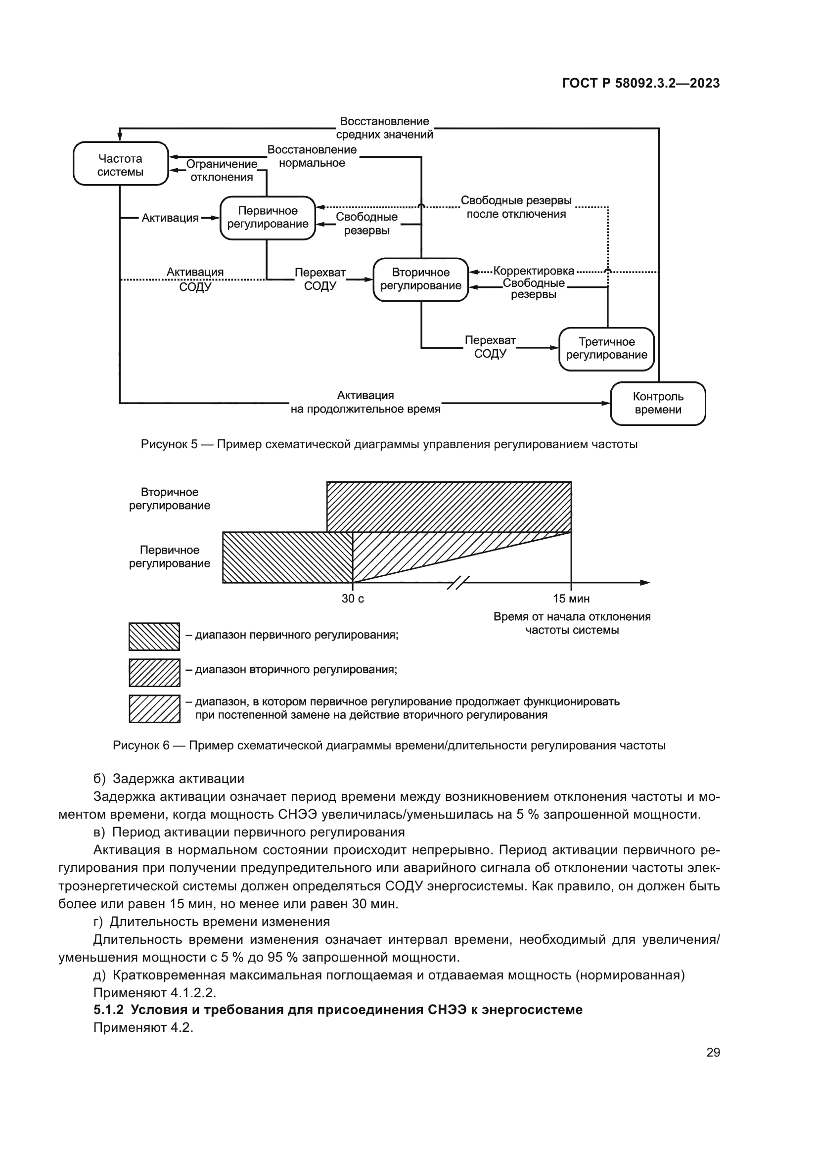
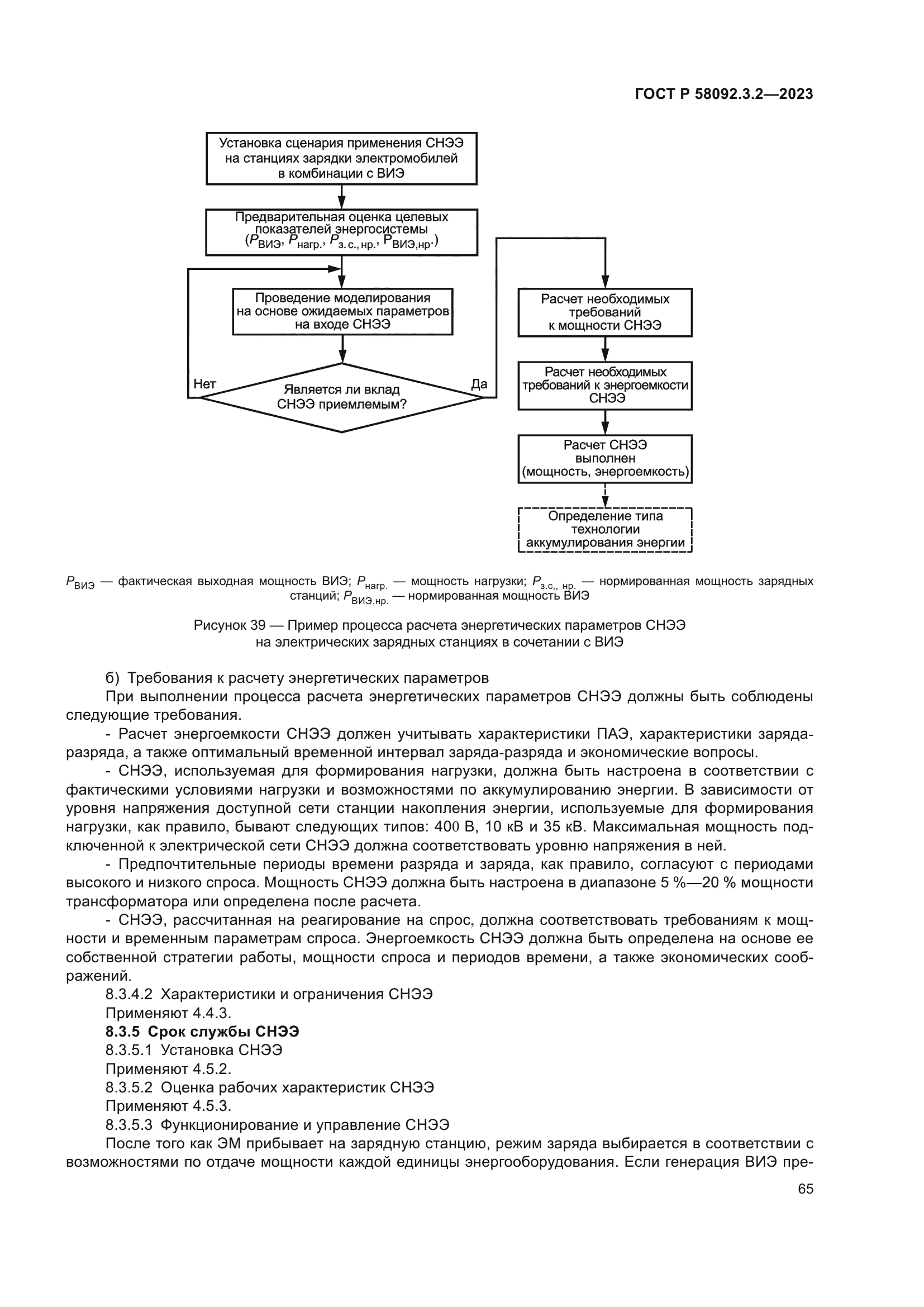
| Название рус.: | Системы накопления электрической энергии. Проектирование и оценка рабочих параметров. Применения с преимущественным использованием мощности и интеграция с возобновляемыми источниками энергии | | Название англ.: | Electric energy storage systems. Planning and performance assessment. Power intensive applications and renewable energy sources integration | | Дата актуализации текста: | 01.07.2023 | | Дата актуализации описания: | 01.07.2023 | | Дата издания: | 08.02.2023 | | Дата введения: | 01.07.2023 | | Нормативные ссылки: | ГОСТ 15150; ГОСТ 30804.4.11-2013; ГОСТ 32144; ГОСТ Р 54325; ГОСТ Р 55608; ГОСТ Р 55890-2013; ГОСТ Р 57114-2016; ГОСТ Р 58092.1-2021; ГОСТ Р 58092.2.2; ГОСТ Р 58092.3.1; ГОСТ Р 58092.3.3; ГОСТ Р 58092.5.1; ГОСТ Р 58651.1; ГОСТ Р 58651.2; ГОСТ Р 58651.3; ГОСТ Р 58651.4; ГОСТ Р 59947; ГОСТ Р 59948; ГОСТ Р 59949; ГОСТ Р ИСО 5660-1; ГОСТ Р МЭК 61850-3; ГОСТ Р МЭК 61850-5; ГОСТ Р МЭК 61850-6; ГОСТ Р МЭК 61850-7-1; ГОСТ Р МЭК 61850-7-2; ГОСТ Р МЭК 61850-7-3; ГОСТ Р МЭК 61850-7-4 | | Область применения: | Настоящий стандарт распространяется на системы накопления электрической энергии (СНЭЭ), связанные с применениями, требующими преимущественного использования мощности, т. е. скорости обмена аккумулируемой в них энергии, в частности при интеграции с возобновляемыми источниками энергии (ВИЭ). СНЭЭ в таких применениях, как правило, используют для улучшения динамической устойчивости энергосистемы или локальной обособленной электросети (ОЭС) путем разряда/заряда СНЭЭ на основе соответствующих стратегий управления. Совместная работа СНЭЭ и ВИЭ позволяет нивелировать стохастический характер генерации ВИЭ и/или обеспечить стабильность энергоснабжения длительное время. Настоящий стандарт устанавливает перечень параметров для установления требований к рабочим характеристикам СНЭЭ, расчету и оценке их энергетических характеристик и проектированию, эксплуатации и управлению, мониторингу и техническому обслуживанию. Функции СНЭЭ, характерные для указанных типов применений, включают: - регулирование частоты в энергосистеме; - регулирование напряжения энергосистемы/электрической сети (Q(U)); - нивелирование провалов напряжения; - демпфирование колебаний мощности (ДКМ). Требования к СНЭЭ как к оборудованию объектов электроэнергетики и энергопринимающих установок устанавливаются в соответствии с [1], [2], иными федеральными законами и нормативными правовыми актами Российской Федерации нормативно-правовыми актами Минэнерго России и национальными стандартами, распространяющимися на объекты электроэнергетики. Применение СНЭЭ, не являющимися объектами диспетчеризации регламентируется [3]. Особенности оперативно-диспетчерского (дистанционного) управления ВИЭ без СНЭЭ регламентируются ГОСТ Р 59949 | |
                                                                                    
|