| Обозначение: |  ГОСТ Р ИСО 44002-2023 |
| Статус: | действующий |
| Название рус.: | Корпоративные системы управления взаимоотношениями с бизнесом. Руководящие указания по реализации ИСО 44001 |
| Название англ.: | Collaborative business relationship management systems. Guidelines on the implementation of ISO 44001 |
| Дата актуализации текста: | 01.07.2023 |
| Дата актуализации описания: | 01.07.2023 |
| Дата издания: | 08.02.2023 |
| Дата введения: | 01.06.2023 |
| Аутентичен стандартам: | ISO 44002:2019 |
| Нормативные ссылки: | ISO 44001:2017 |
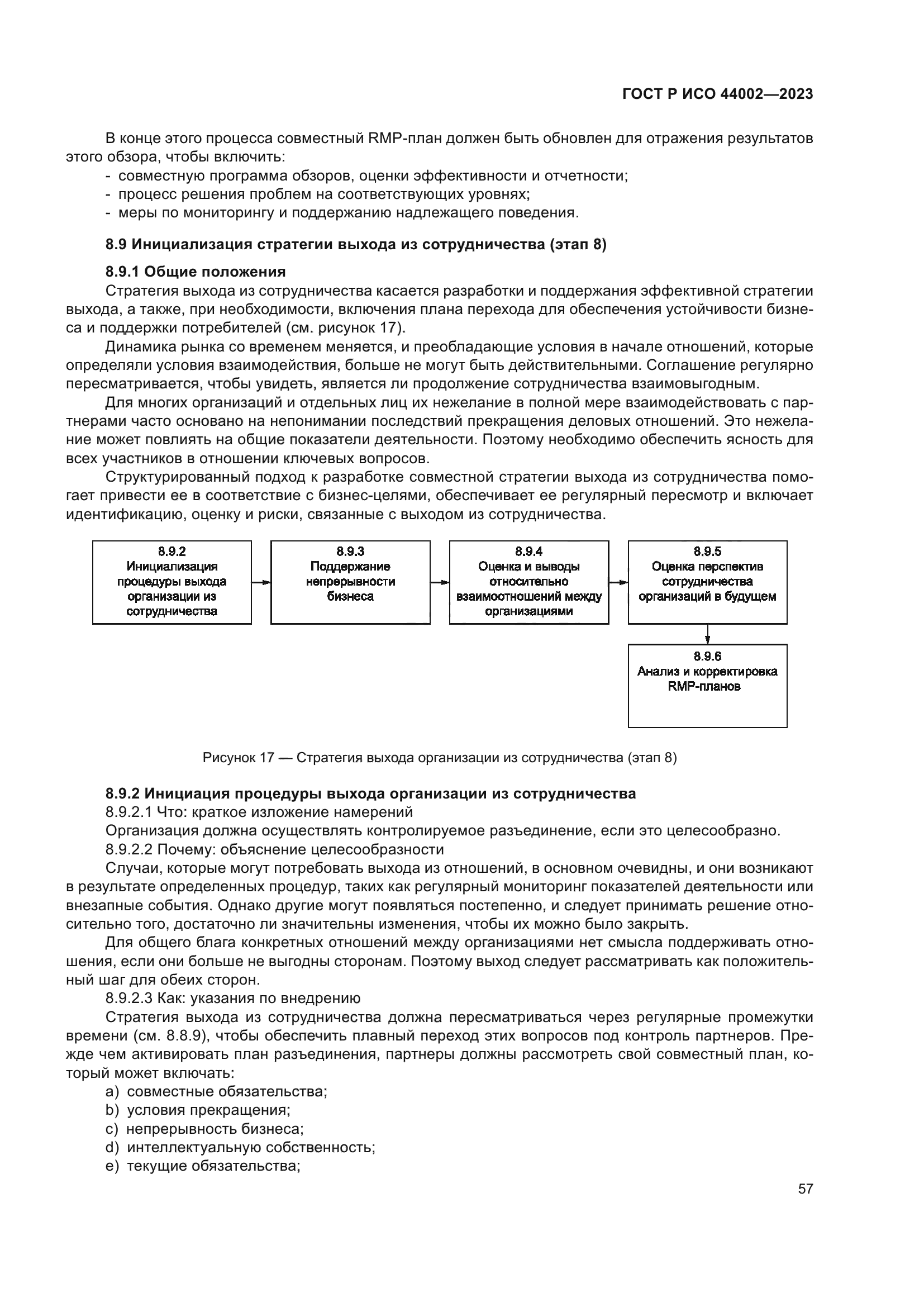
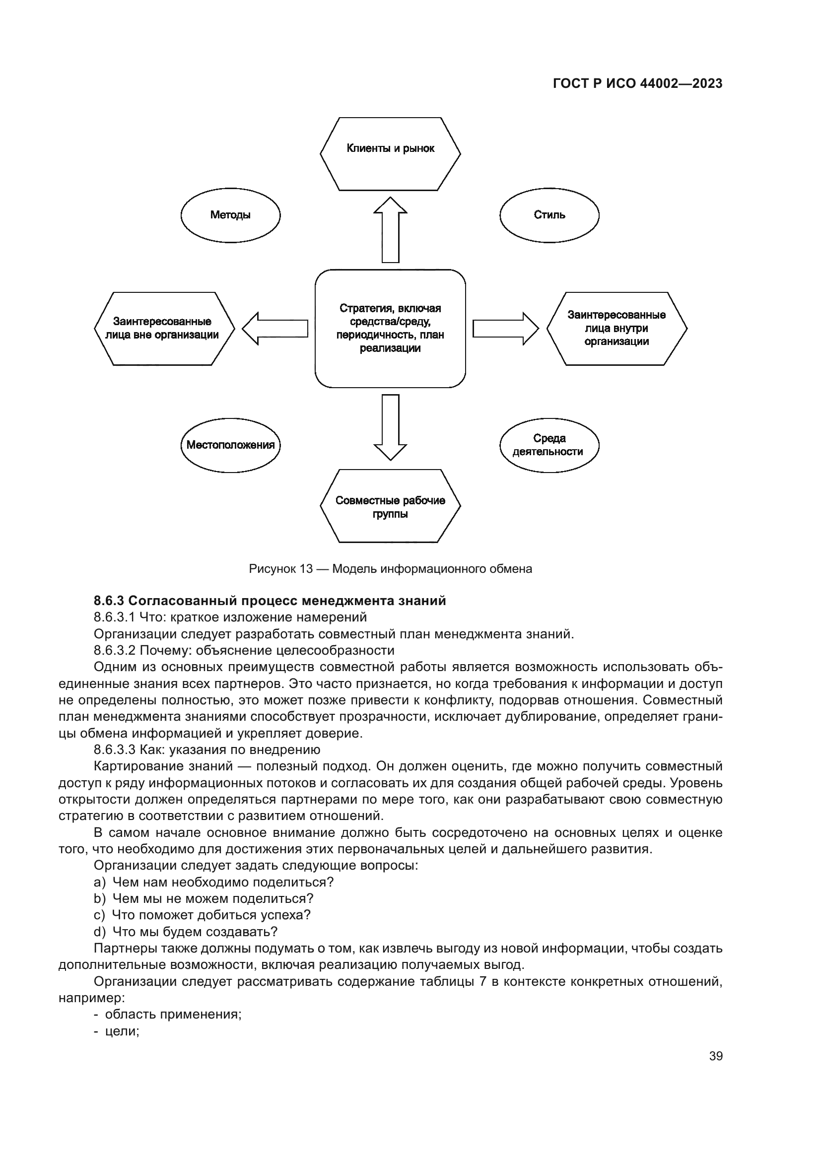
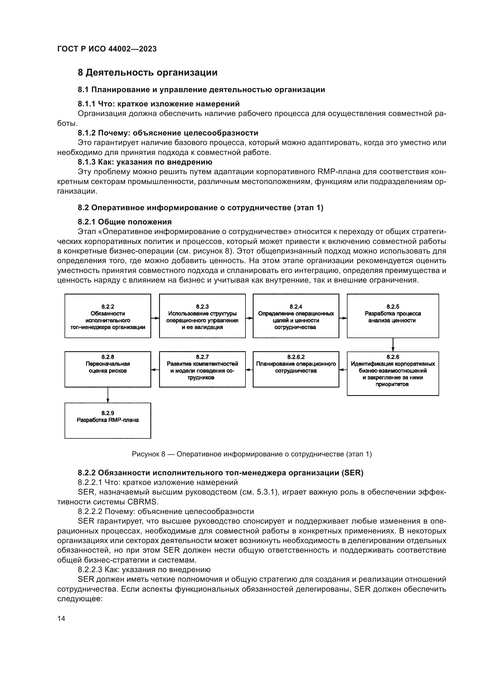
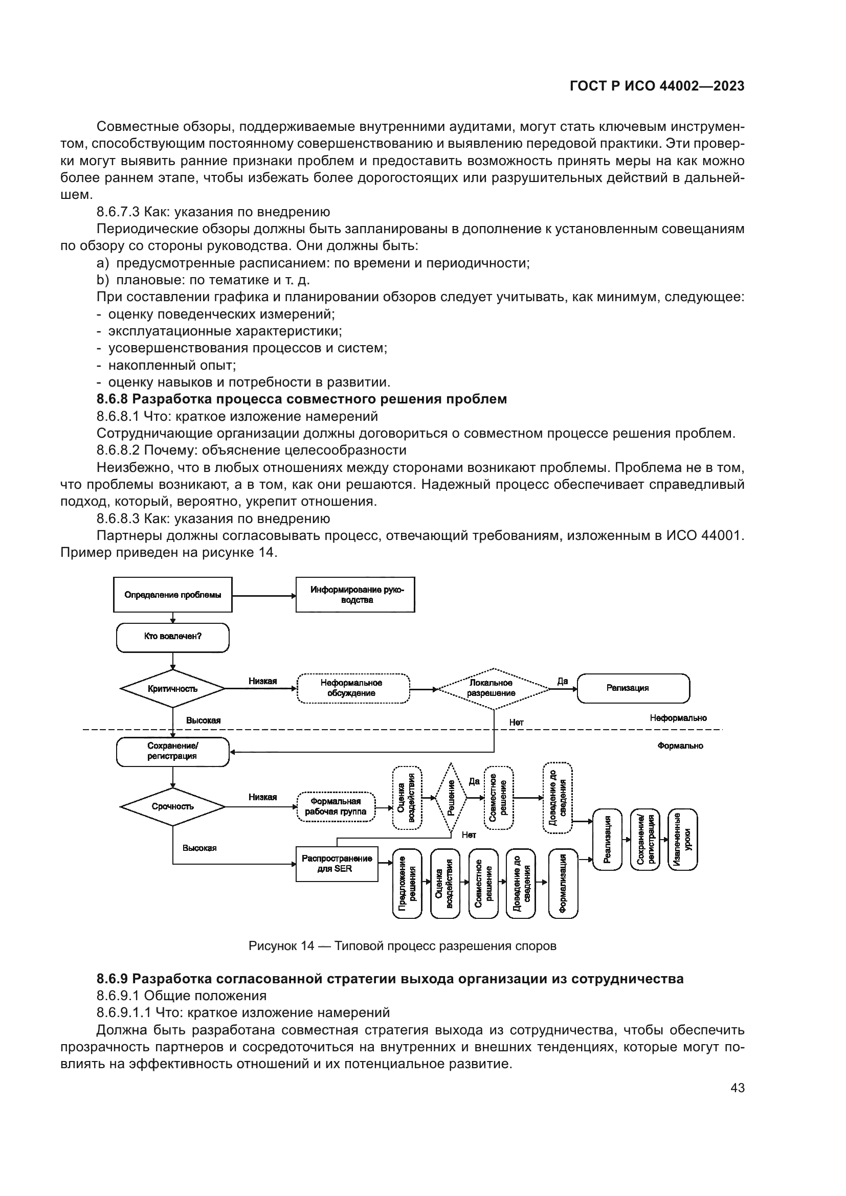
| Область применения: | Настоящий стандарт содержит руководящие указания для организаций по внедрению ИСО 44001 (см. рисунок 3) для достижения успешных корпоративных бизнес-взаимоотношений, а также помогает организациям эффективно использовать и внедрять его в свою среду. Настоящий стандарт содержит разъяснения требований ИСО 44001, их важности, а также приводит рекомендации по подходам к их практической реализации. Способы выполнения требований оценивают индивидуально и применяют в контексте каждой организации |
|