| Обозначение: |  ГОСТ Р 70628.2-2023 |
| Статус: | действующий |
| Название рус.: | Трубопроводы из пластмасс для водоснабжения, дренажа и напорной канализации. Полиэтилен (ПЭ). Часть 2. Трубы |
| Название англ.: | Plastics piping systems for water supply, and for drainage and sewerage under pressure. Polyethylene (PE). Part 2. Pipes |
| Дата актуализации текста: | 01.01.2026 |
| Дата актуализации описания: | 01.12.2024 |
| Дата издания: | 30.01.2023 |
| Дата введения: | 01.09.2024 |
| Содержит требования: | ISO 4427-2:2019 |
| Нормативные ссылки: | ГОСТ 9.708; ГОСТ 12.3.030; ГОСТ 11645; ГОСТ 12423; ГОСТ 15150-69; ГОСТ 21650; ГОСТ 22235; ГОСТ 26653; ГОСТ 27078;ГОСТ ISO 1167-1-2013;ГОСТ ISO 1167-2;ГОСТ ISО 4065;ГОСТ ISО 11922-1-2019; ГОСТ Р 53652.1; ГОСТ Р 53652.3; ГОСТ Р 54475-2011; ГОСТ Р 56756; ГОСТ Р 58121.1-2018; ГОСТ Р 58121.2-2018; ГОСТ Р 70628.1-2023; ГОСТ Р 70628.5ы; ГОСТ Р ИСО 3126; ГОСТ Р ИСО 16871;СП 399.1325800 |
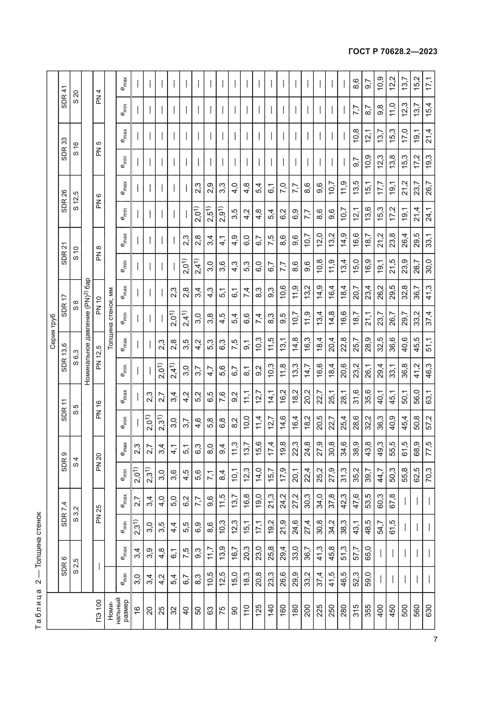
| Область применения: | Настоящий стандарт устанавливает общие требования к полиэтиленовым (ПЭ) трубам для напорных трубопроводов подземной, наземной и надземной прокладки, предназначенных: - для транспортирования воды хозяйственно-питьевого назначения; - для транспортирования воды до очистки; - для дренажа и напорной канализации; - для вакуумных канализационных систем; - для транспортирования воды для других целей. Трубы, соответствующие требованиям настоящего стандарта, не предназначены для транспортирования воды хозяйственно-питьевого назначения в загрязненных грунтах, если не были приняты во внимание особые обстоятельства |
| Приложение №1: | Поправка к ГОСТ Р 70628.2-2023 |
| Приложение №2: | Поправка к ГОСТ Р 70628.2-2023 |
|