Скачать ГОСТ 8338-2022 Подшипники качения. Подшипники шариковые радиальные однорядные. Классификация, указания по применению и эксплуатацииДата актуализации: 01.06.2025 ГОСТ 8338-2022
Подшипники качения. Подшипники шариковые радиальные однорядные. Классификация, указания по применению и эксплуатации
| Обозначение: |  ГОСТ 8338-2022 |
| Статус: | действующий |
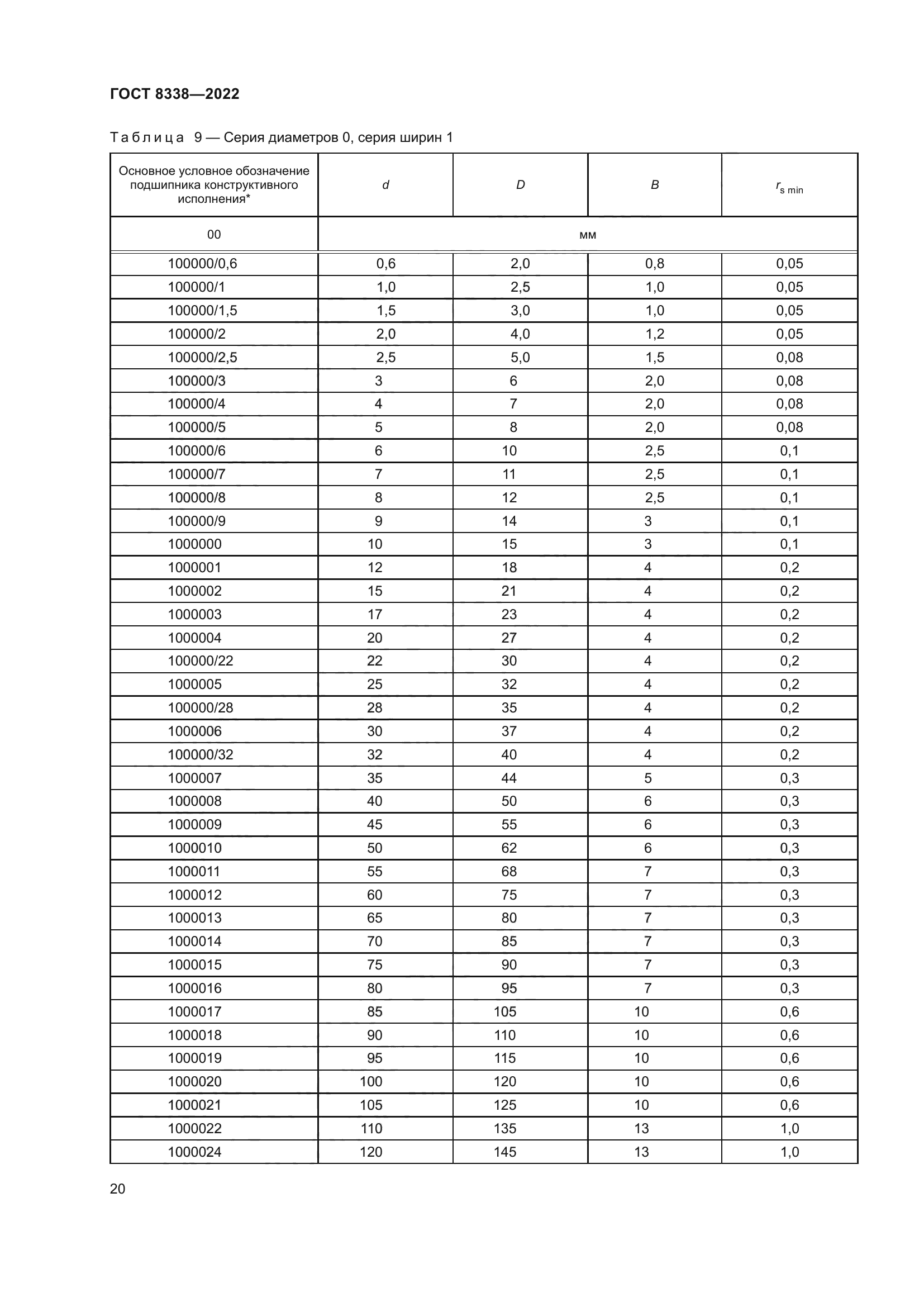
| Название рус.: | Подшипники качения. Подшипники шариковые радиальные однорядные. Классификация, указания по применению и эксплуатации | | Название англ.: | Rolling bearings. Single-row deep groove ball bearings. Classification, guidance for application and exploitation | | Дата актуализации текста: | 01.06.2024 | | Дата актуализации описания: | 01.06.2025 | | Дата регистрации: | 26.12.2022 | | Дата издания: | 07.04.2025 | | Дата введения: | 01.04.2023 | | Взамен: | ГОСТ 8338-75 | | Нормативные ссылки: | ГОСТ 520; ГОСТ 2893; ГОСТ 3189; ГОСТ 3325; ГОСТ 3478; ГОСТ 18855; ГОСТ 24955; ГОСТ 25256 | | Область применения: | Настоящий стандарт распространяется на шариковые радиальные однорядные подшипники, включая шариковые радиальные однорядные подшипники с канавкой под установочное пружинное кольцо, (далее – подшипники), изготавливаемые по ГОСТ 520, и устанавливает классификацию по конструктивным исполнениям и присоединительным размерам, указания по применению и эксплуатации | | Приложение №1: | Поправка к ГОСТ 8338-2022 | |
                            
Поправка к ГОСТ 8338-2022
| Обозначение: | Поправка к ГОСТ 8338-2022 |
| Дата введения: | 21.05.2024 |
|