Скачать ГОСТ Р 70593-2022 Единая энергетическая система и изолированно работающие энергосистемы. Релейная защита и автоматика. Дифференциально-фазная защита линий электропередачи классом напряжения 110–220 кВ. ИспытанияДата актуализации: 01.06.2025 ГОСТ Р 70593-2022
Единая энергетическая система и изолированно работающие энергосистемы. Релейная защита и автоматика. Дифференциально-фазная защита линий электропередачи классом напряжения 110–220 кВ. Испытания
| Обозначение: |  ГОСТ Р 70593-2022 |
| Статус: | действующий |
| Название рус.: | Единая энергетическая система и изолированно работающие энергосистемы. Релейная защита и автоматика. Дифференциально-фазная защита линий электропередачи классом напряжения 110–220 кВ. Испытания | | Название англ.: | United power system and isolated power systems. Relay protection and automation. Differential phase protection of power lines at voltage 110–220 kV. Testing | | Дата актуализации текста: | 01.07.2023 | | Дата актуализации описания: | 01.07.2023 | | Дата издания: | 13.01.2023 | | Дата введения: | 01.02.2023 | | Нормативные ссылки: | ГОСТ Р 58601; ГОСТ Р 58981-2020; ГОСТ Р 70358 | | Область применения: | Настоящий стандарт устанавливает порядок и методику проведения испытаний микропроцессорных устройств релейной защиты и автоматики, содержащих функцию дифференциально-фазной защиты линий электропередачи классом напряжения 110–220 кВ (далее – устройства ДФЗ ЛЭП классом напряжения 110–220 кВ) для подтверждения соответствия указанных устройств требованиям ГОСТ Р 58981 в части реализации в них функции дифференциально-фазной защиты линий электропередачи классом напряжения 110–220 кВ. Настоящий стандарт не определяет порядок и методику испытаний устройств ДФЗ ЛЭП классом напряжения 110–220 кВ в части: - работы устройств ДФЗ ЛЭП классом напряжения 110–220 кВ различных производителей или различных версий алгоритмов функционирования устройства ДФЗ; - соответствия требованиям к работе таких устройств в переходных режимах, сопровождающихся насыщением трансформаторов тока. Порядок и методика проведения испытаний устройств ДФЗ ЛЭП классом напряжения 110–220 кВ на соответствие требованиям к работе в переходных режимах, сопровождающихся насыщением трансформаторов тока приведены в ГОСТ Р 70358. Требования настоящего стандарта предназначены для организаций, осуществляющих деятельность по разработке, изготовлению, созданию, модернизации устройств релейной защиты и автоматики, разработке алгоритмов функционирования устройств релейной защиты и автоматики, системного оператора и субъектов оперативно-диспетчерского управления в электроэнергетике в технологически изолированных территориальных электроэнергетических системах, субъектов электроэнергетики и потребителей электрической энергии, владеющих на праве собственности или ином законном основании объектами по производству электрической энергии, объектами электросетевого хозяйства и (или) энергопринимающими установками, входящими в состав электроэнергетической системы или присоединяемыми к ней, проектных и научно-исследовательских организаций. Требования настоящего стандарта следует учитывать при проведении испытаний микропроцессорных устройств релейной защиты и автоматики для оценки их соответствия функциональным требованиям, предъявляемым ГОСТ Р 58981. Требования настоящего стандарта не распространяются на аппаратуру, применяемую для организации каналов связи между устройствами ДФЗ ЛЭП классом напряжения 110–220 кВ. Требования настоящего стандарта не распространяются (за исключением случаев, указанных в абзаце четвертом настоящего пункта) на устройства ДФЗ ЛЭП классом напряжения 110–220 кВ в случае, если такие устройства: - установлены на объектах электроэнергетики до вступления в силу настоящего стандарта; - подлежат установке на объектах электроэнергетики в соответствии с проектной (рабочей) документацией на создание (модернизацию) устройств релейной защиты и автоматики, согласованной и утвержденной в установленном порядке до вступления в силу настоящего стандарта. Для указанных устройств ДФЗ ЛЭП классом напряжения 110–220 кВ выполнение требований настоящего стандарта должно быть обеспечено при модернизации полукомплектов ДФЗ со всех сторон ЛЭП (в случае технической возможности) посредством установки версии алгоритма функционирования, успешно прошедшей испытания и проверку на соответствие требованиям настоящего стандарта, или при замене полукомплектов ДФЗ со всех сторон ЛЭП | |
                                          
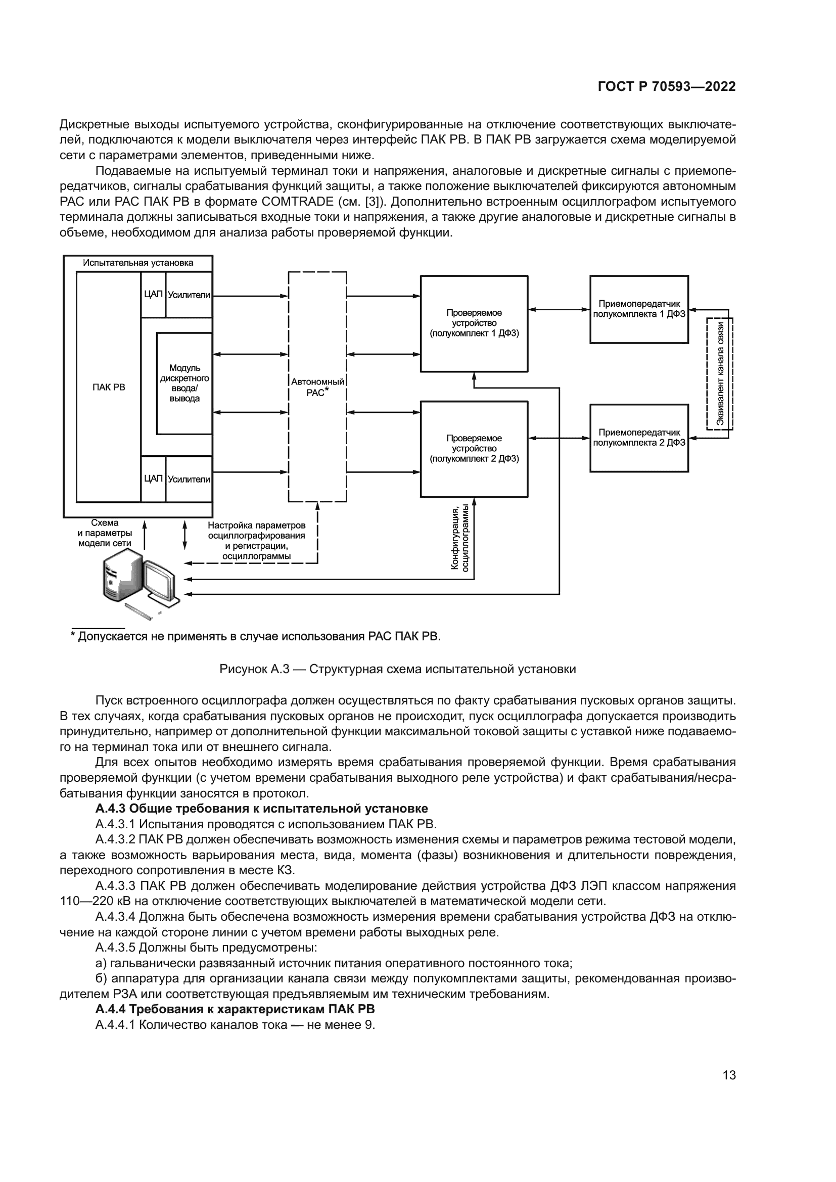
|