| Обозначение: |  ГОСТ Р 70545-2022 |
| Статус: | отменён |
| Название рус.: | Кокс каменноугольный. Метод определения реакционной способности |
| Название англ.: | Hard coal coke. Method for the determination of reactivity |
| Дата актуализации текста: | 01.07.2023 |
| Дата актуализации описания: | 01.06.2024 |
| Дата издания: | 11.01.2023 |
| Дата введения: | 01.03.2024 |
| Нормативные ссылки: | ГОСТ 400; ГОСТ 949; ГОСТ 2405; ГОСТ 2669; ГОСТ 4233; ГОСТ 6616; ГОСТ 8050; ГОСТ 13045; ГОСТ 13320; ГОСТ 22692; ГОСТ 23083; ГОСТ 24363; ГОСТ 25336; ГОСТ 22692; ГОСТ 27589; ГОСТ Р 53228 |
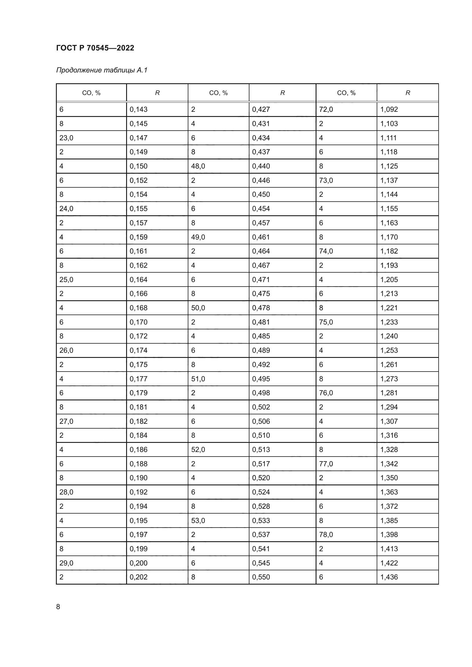
| Область применения: | Настоящий стандарт распространяется на высокотемпературный каменноугольный кокс и устанавливает газообъемный метод определения реакционной способности по отношению к диоксиду углерода. Метод основан на газификации кокса диоксидом углерода при температуре 1000 °С |
|