| Обозначение: |  ГОСТ Р 70515-2022 |
| Статус: | действующий |
| Название рус.: | Проекты по экономии энергии. Руководящие указания по проведению экономической и финансовой оценки |
| Название англ.: | Energy saving projects. Guidelines for economic and financial evaluation |
| Дата актуализации текста: | 01.01.2023 |
| Дата актуализации описания: | 01.07.2023 |
| Дата издания: | 28.12.2022 |
| Дата введения: | 01.07.2023 |
| Аутентичен стандартам: | ISO/TS 50044:2019 |
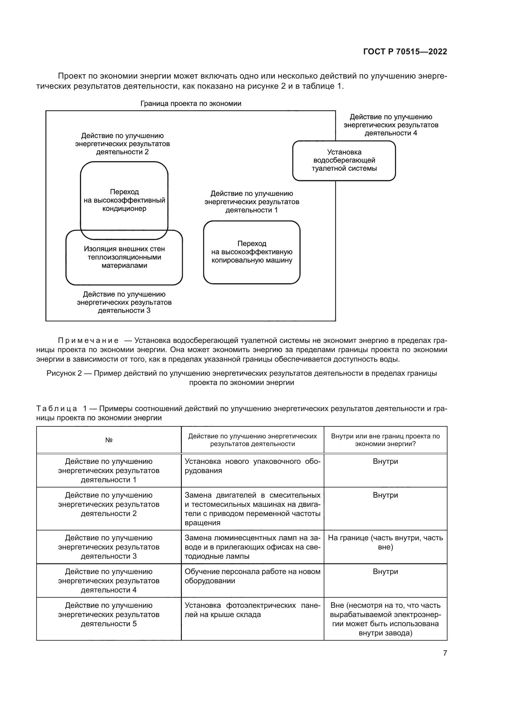
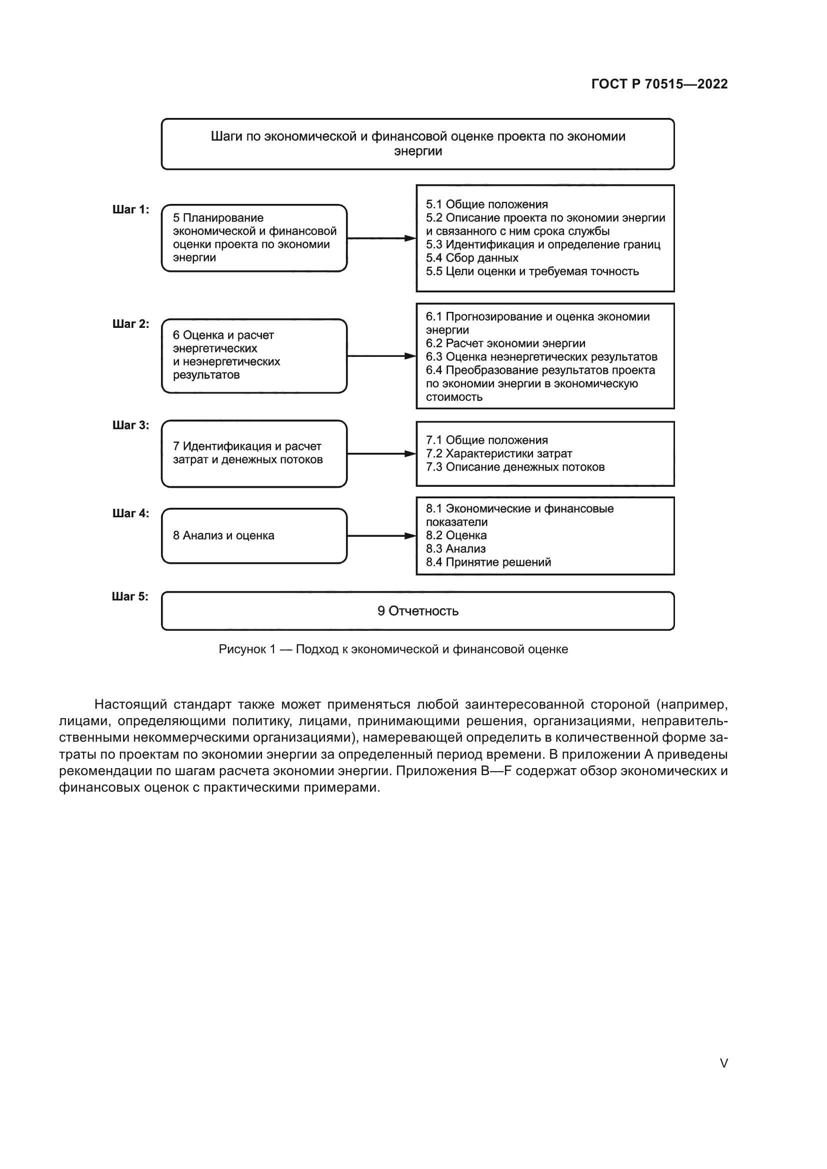
| Область применения: | Настоящий стандарт предоставляет руководящие указания по сравнению и определению приоритетов проектов по экономии энергии до их реализации на основе проведения экономической и финансовой оценки. Он включает в себя единый набор принципов. Настоящий стандарт применим ко всем проектам по экономии энергии и действиям по улучшению энергетических результатов деятельности, разрабатываемым заинтересованными сторонами и организациями для улучшения энергетических результатов деятельности, независимо от вида и размера организации, а также ее использования и потребления энергии |
|