Скачать ГОСТ Р ИСО 19439-2022 Интеграция предприятия. Основа моделирования предприятияДата актуализации: 01.06.2025 ГОСТ Р ИСО 19439-2022
Интеграция предприятия. Основа моделирования предприятия
| Обозначение: |  ГОСТ Р ИСО 19439-2022 |
| Статус: | действующий |
| Название рус.: | Интеграция предприятия. Основа моделирования предприятия | | Название англ.: | Enterprise integration. Framework for enterprise modelling | | Дата актуализации текста: | 01.01.2023 | | Дата актуализации описания: | 01.01.2023 | | Дата издания: | 20.12.2022 | | Дата введения: | 01.01.2023 | | Взамен: | ГОСТ Р ИСО 19439-2008 | | Аутентичен стандартам: | ISO 19439:2006 | | Нормативные ссылки: | ISO 15704 | | Область применения: | Настоящий стандарт определяет среду моделирования, соответствующую требованиям ИСО 15704 и предоставляющую основу для идентификации и координации разработки стандартов на моделирование предприятий, не ограничиваясь только автоматизированным производством. Настоящий стандарт также служит основой для последующей разработки стандартов на компьютеризированные модели, обеспечивающие поддержку принятия решений по производственным процессам, что в результате приводит к функционированию, мониторингу и управлению, основанным на модели | |
                                      
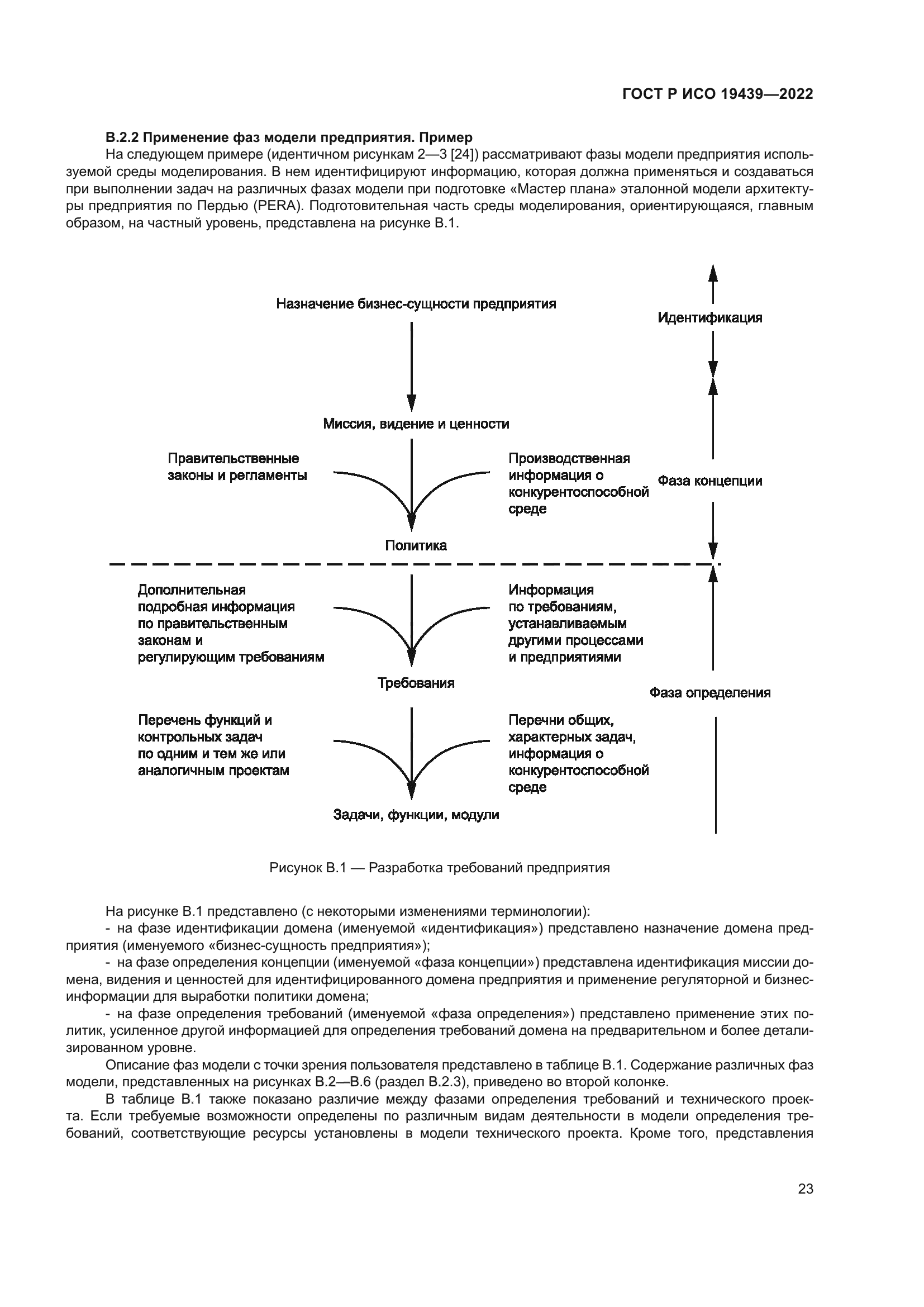
|