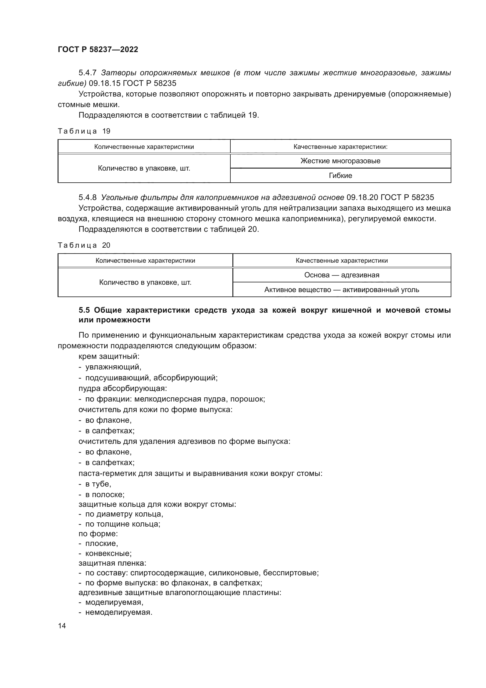
Скачать ГОСТ Р 58237-2022 Средства ухода за кишечными стомами: калоприемники, вспомогательные средства и средства ухода за кожей вокруг стомы Характеристики и основные требования. Методы испытанийДата актуализации: 01.01.2026 ГОСТ Р 58237-2022
Средства ухода за кишечными стомами: калоприемники, вспомогательные средства и средства ухода за кожей вокруг стомы Характеристики и основные требования. Методы испытаний
| Обозначение: |  ГОСТ Р 58237-2022 |
| Статус: | действующий |
| Название рус.: | Средства ухода за кишечными стомами: калоприемники, вспомогательные средства и средства ухода за кожей вокруг стомы Характеристики и основные требования. Методы испытаний | | Название англ.: | Intestinal stoma care products: ostomy bags, assistive products and skin care products around the stoma. Characteristics and basic requirements. Test methods | | Дата актуализации текста: | 01.01.2026 | | Дата актуализации описания: | 01.01.2026 | | Дата издания: | 15.12.2022 | | Дата введения: | 01.04.2023 | | Дата окончания срока действия: | 01.07.2026 | | Взамен: | ГОСТ Р 58237-2018 | | Заменяющий: | ГОСТ Р 58237-2025 | | Нормативные ссылки: | ГОСТ 11358;ГОСТ ISO 7886-1; ГОСТ Р 58235 | | Область применения: | Настоящий стандарт распространяется на средства ухода за кишечными стомами: калоприемники, вспомогательные средства и средства ухода за кожей вокруг стомы, устанавливает их состав, назначение и характеристики, основные требования, методы испытаний. Характеристики, основные требования и методы испытания средств ухода за кишечной стомой, установленные настоящим стандартом, рекомендуются для применения во всех видах документации и литературы в области вспомогательных средств для людей с ограничениями жизнедеятельности, входящих в сферу работ по стандартизации и/или использующих результаты этих работ | | Приложение №1: | Поправка к ГОСТ Р 58237-2022 | |
                                              
Поправка к ГОСТ Р 58237-2022
| Обозначение: | Поправка к ГОСТ Р 58237-2022 |
| Дата введения: | 20.03.2025 |
|