| Обозначение: |  ГОСТ Р 59709-2022 |
| Статус: | действующий |
| Название рус.: | Защита информации. Управление компьютерными инцидентами. Термины и определения |
| Название англ.: | Information protection. Computer incident management. Terms and definitions |
| Дата актуализации текста: | 01.01.2023 |
| Дата актуализации описания: | 01.07.2023 |
| Дата издания: | 07.12.2022 |
| Дата введения: | 01.02.2023 |
| Нормативные ссылки: | ГОСТ Р 27.102; ГОСТ Р 59547 |
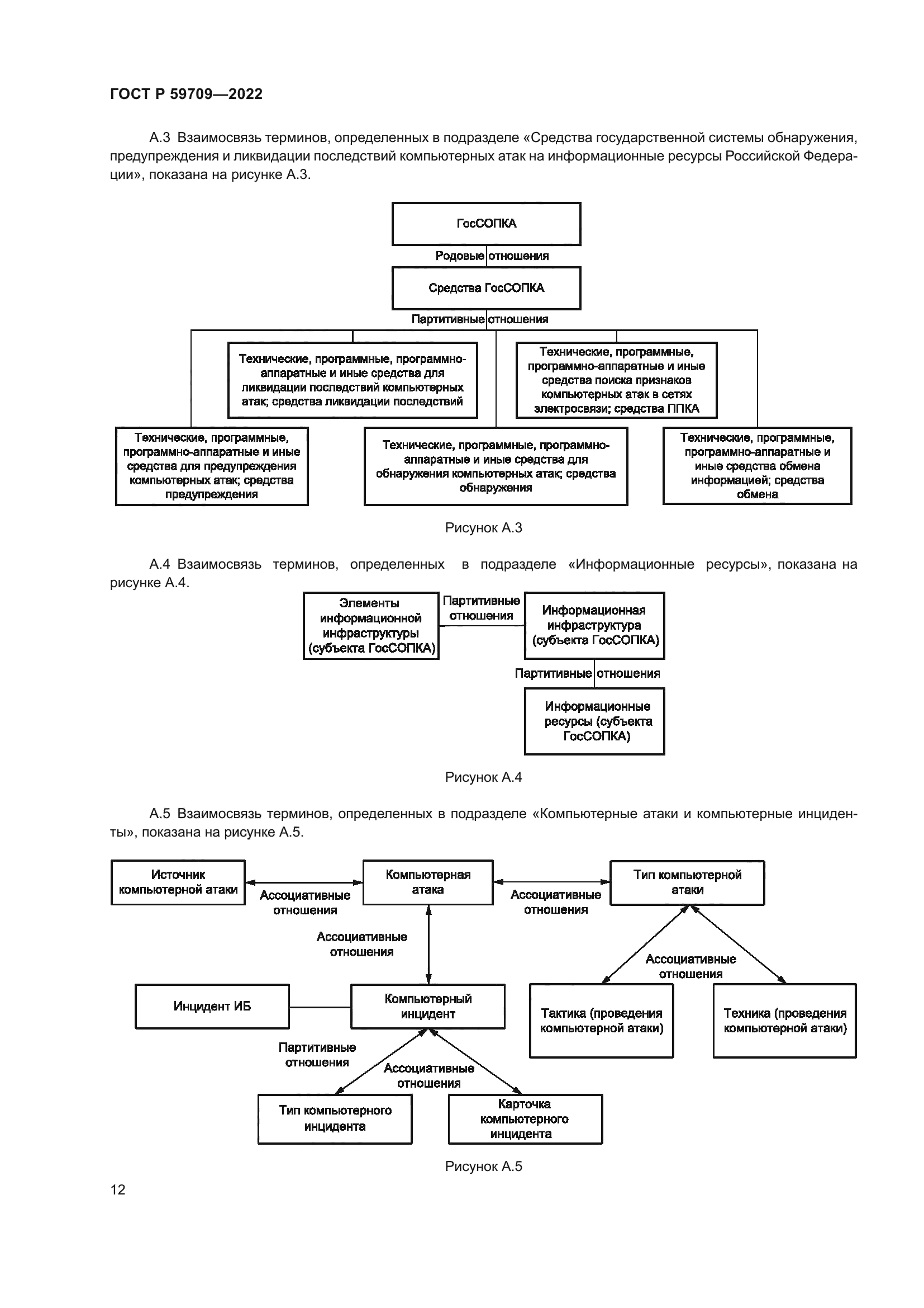
| Область применения: | Настоящий стандарт содержит термины и определения основных понятий, используемых в области обнаружения, предупреждения и ликвидации последствий компьютерных атак и реагирования на компьютерные инциденты, применяемых в государственной системе обнаружения, предупреждения и ликвидации последствий компьютерных атак на информационные ресурсы Российской Федерации. Термины, установленные в настоящем стандарте, предназначены для применения во всех видах документации, входящей в область применения стандарта |
|