| Обозначение: |  ГОСТ Р ИСО 11737-1-2022 |
| Статус: | действующий |
| Название рус.: | Стерилизация медицинской продукции. Микробиологические методы. Часть 1. Определение популяции микроорганизмов на продукции |
| Название англ.: | Sterilization of health care products. Microbiological methods. Part 1. Determination of a population of microorganisms on products |
| Дата актуализации текста: | 01.01.2023 |
| Дата актуализации описания: | 01.01.2024 |
| Дата издания: | 17.11.2022 |
| Дата введения: | 01.10.2023 |
| Аутентичен стандартам: | ISO 11737-1:2018 |
| Нормативные ссылки: | ISO 10012;ISO 13485;ISO 15189;ISO/IEC 17025 |
| Область применения: | Настоящий стандарт устанавливает требования и содержит рекомендации по подсчету и микробиологической характеристике популяции жизнеспособных микроорганизмов на/в медицинской продукции, компоненте, сырье или упаковке |
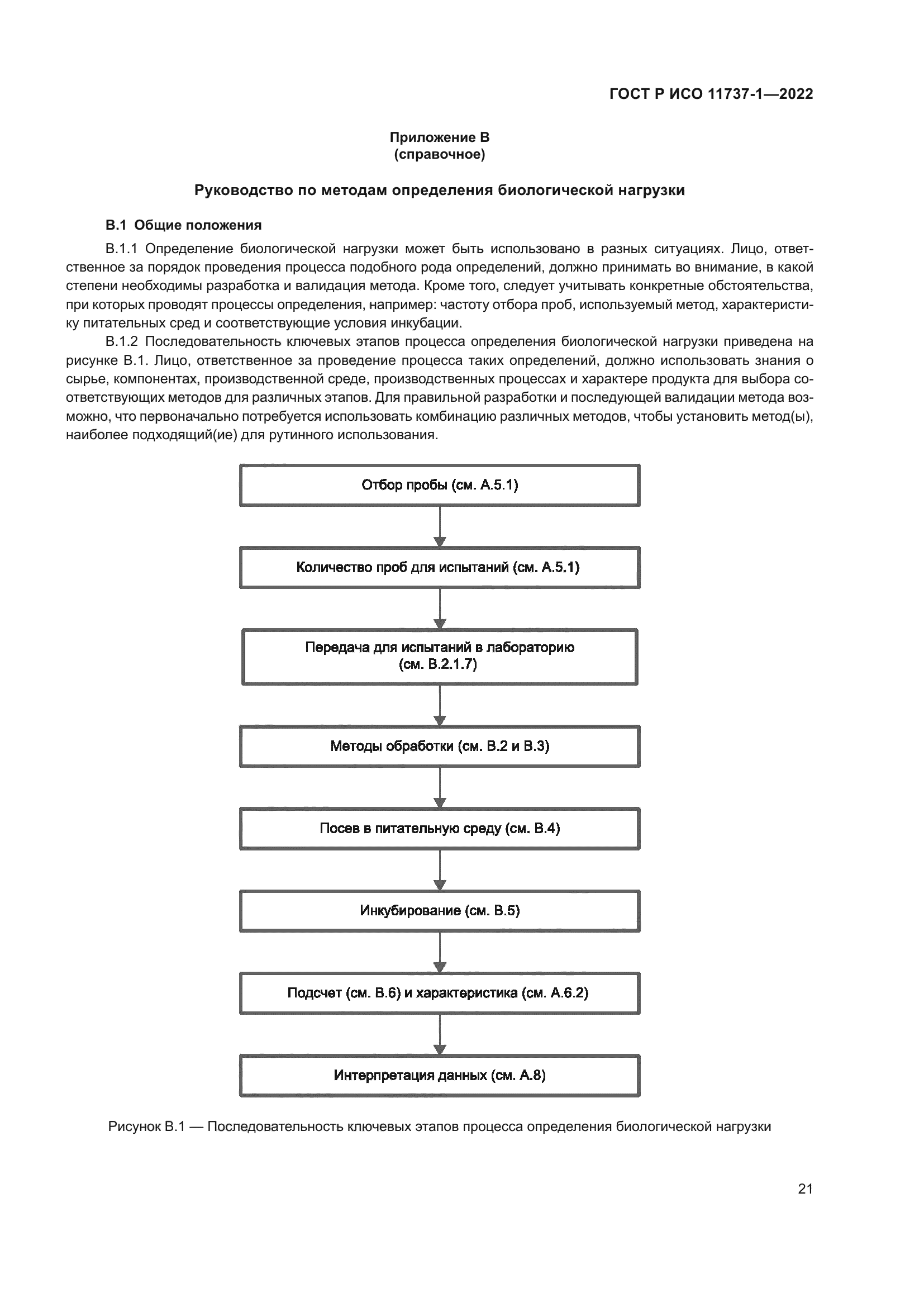
|