Скачать ГОСТ Р 70467-2022 Изделия медицинские. Система наблюдения, применяемая изготовителем после выпуска изделий в обращениеДата актуализации: 01.06.2025 ГОСТ Р 70467-2022
Изделия медицинские. Система наблюдения, применяемая изготовителем после выпуска изделий в обращение
| Обозначение: |  ГОСТ Р 70467-2022 |
| Статус: | действующий |
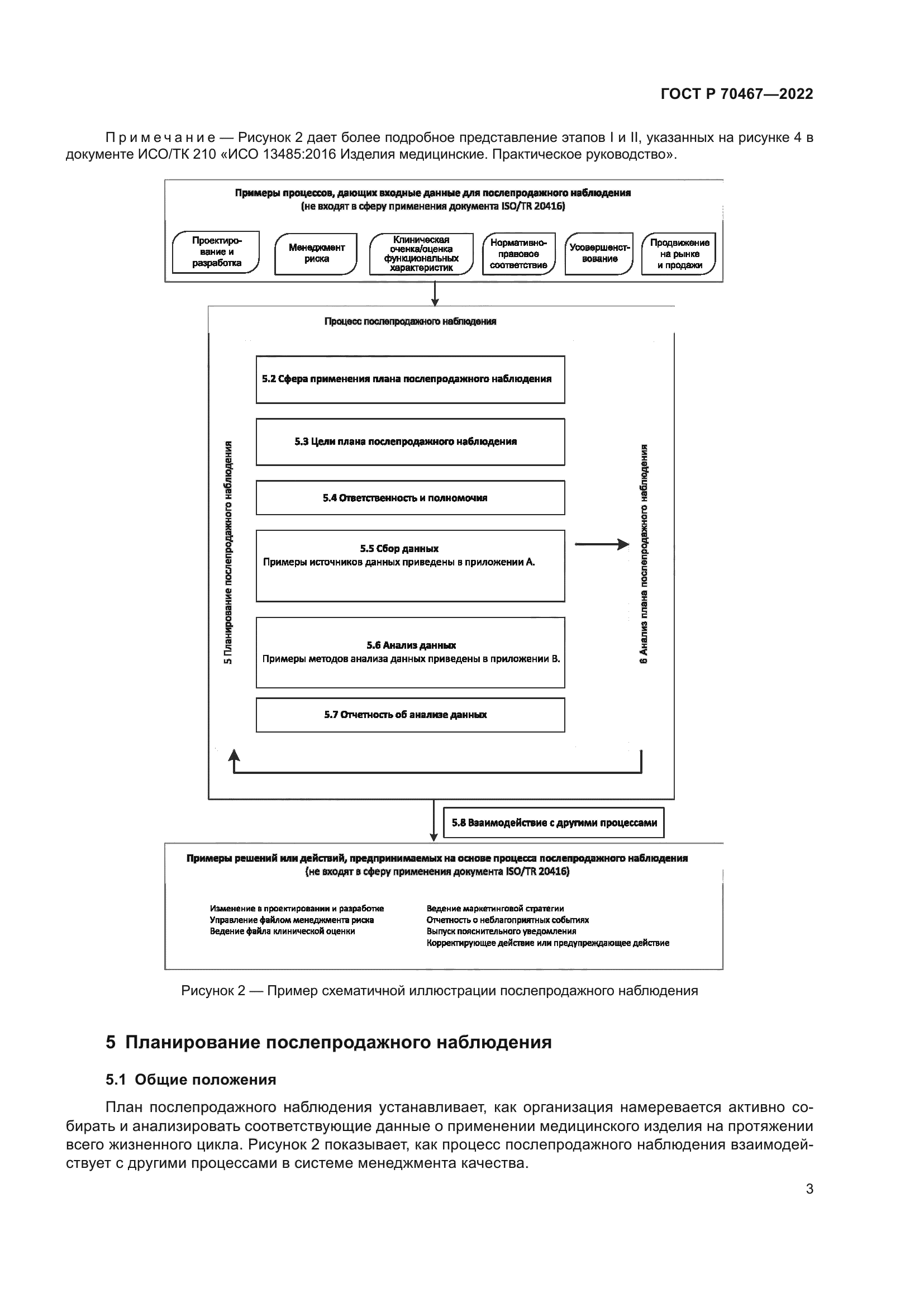
| Название рус.: | Изделия медицинские. Система наблюдения, применяемая изготовителем после выпуска изделий в обращение | | Название англ.: | Medical devices. The monitoring system used by the manufacturer after the release of products in circulation | | Дата актуализации текста: | 01.01.2023 | | Дата актуализации описания: | 01.01.2024 | | Дата издания: | 25.11.2022 | | Дата введения: | 01.09.2023 | | Аутентичен стандартам: | ISO/TR 20416:2020 | | Область применения: | Настоящий стандарт содержит рекомендации по процессу наблюдения в отношении выпущенных в обращение изделий и предназначен для применения изготовителями медицинских изделий. Данный процесс послепродажного наблюдения не противоречит соответствующим международным стандартам, в частности ИСО 13485 и ИСО 14971. Настоящий стандарт описывает систематический проактивный процесс, который могут использовать изготовители с целью сбора и анализа соответствующих данных, предоставления информации для процессов обратной связи и использования этой информации для выполнения применимых регулирующих требований, а также для получения опыта на стадии постпроизводства. Выходные данные этого процесса могут использоваться: - в качестве входных данных в процессы жизненного цикла продукции; - в качестве входных данных в менеджмент риска; - для мониторинга и поддержания в актуальном состоянии требований к продукции; - для поддержания связи с регулирующими органами или в качестве входных данных в процессы улучшения | |
                                            
|