Скачать ГОСТ Р 70394-2022 Информатизация здоровья. Обмен данными с медицинскими приборами в месте оказания медицинской помощи. Часть 10103. Номенклатура. Имплантируемые кардиологические приборыДата актуализации: 01.06.2025 ГОСТ Р 70394-2022
Информатизация здоровья. Обмен данными с медицинскими приборами в месте оказания медицинской помощи. Часть 10103. Номенклатура. Имплантируемые кардиологические приборы
| Обозначение: |  ГОСТ Р 70394-2022 |
| Статус: | действующий |
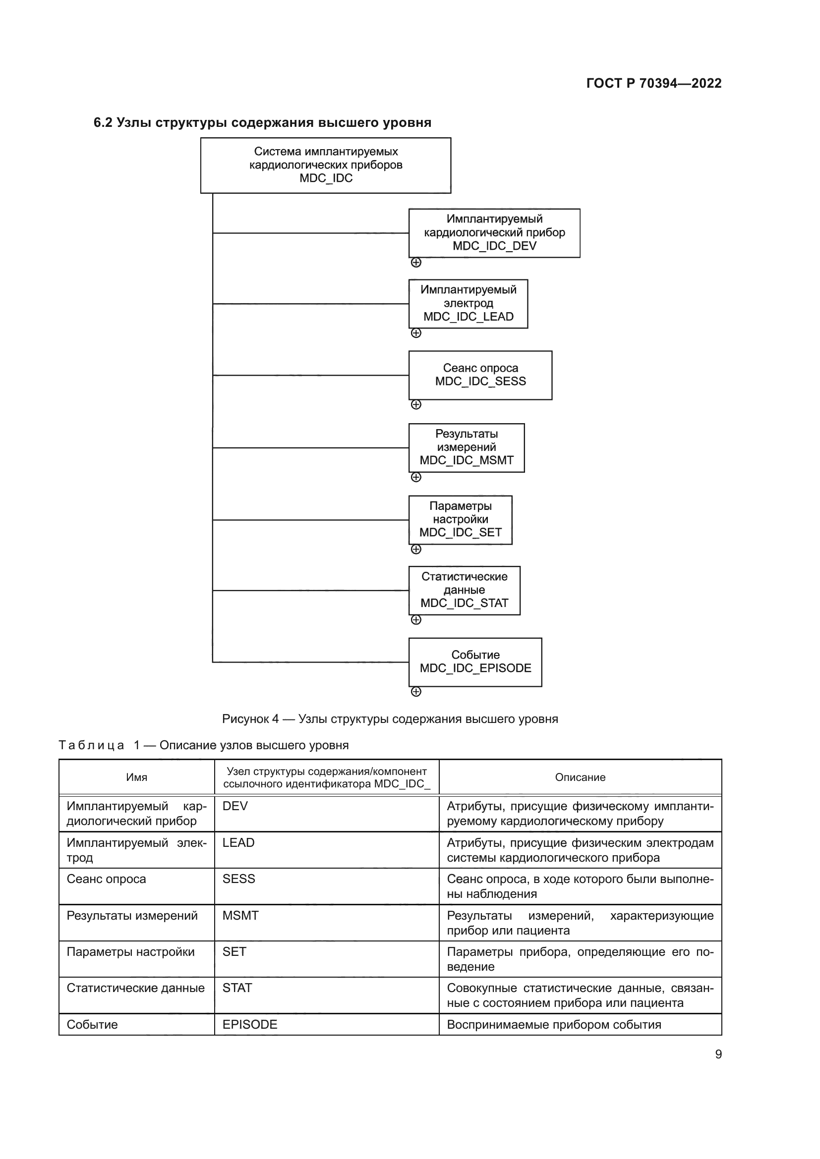
| Название рус.: | Информатизация здоровья. Обмен данными с медицинскими приборами в месте оказания медицинской помощи. Часть 10103. Номенклатура. Имплантируемые кардиологические приборы | | Название англ.: | Health informatics. Point-of-care medical device communication. Part 10103. Nomenclature. Implantable device, cardiac | | Дата актуализации текста: | 01.01.2023 | | Дата актуализации описания: | 01.07.2023 | | Дата издания: | 01.11.2022 | | Дата введения: | 01.03.2023 | | Аутентичен стандартам: | ISO/IEEE 11073-10103:2014 | | Нормативные ссылки: | IEEE 11073-10101:2004;The Unified Code for Units of Measure | | Область применения: | Настоящий стандарт для формирования терминологии, используемой в области имплантируемых кардиологических приборов, устанавливает их базовую номенклатуру, представленную в стандарте ISO/IEEE 11073-10101:2004. В эту номенклатуру входят такие имплантируемые приборы, как кардиостимуляторы, дефибрилляторы, приборы сердечной ресинхронизирующей терапии и имплантируемые кардиомониторы. В этой номенклатуре определены специальные термины, необходимые для передачи клинически значимой сводной информации, которая была получена в ходе запроса прибора. Расширения номенклатуры могут использоваться в сочетании с другими частями стандарта IEEE 11073 (например, ISO/IEEE 11073-10201 [B2]) или с другими стандартами, например, Health Level Seven International (HL7) | |
                                                                                                                                                            
|