Скачать ГОСТ Р 70395-2022 Информатизация здоровья. Формат биосигналов. Часть 2. ЭлектрокардиографияДата актуализации: 01.06.2025 ГОСТ Р 70395-2022
Информатизация здоровья. Формат биосигналов. Часть 2. Электрокардиография
| Обозначение: |  ГОСТ Р 70395-2022 |
| Статус: | действующий |
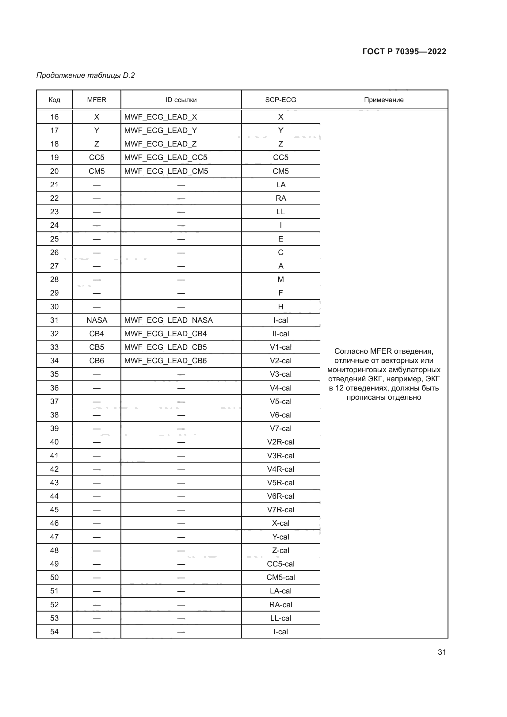
| Название рус.: | Информатизация здоровья. Формат биосигналов. Часть 2. Электрокардиография | | Название англ.: | Health informatics. Medical waveform format. Part 2. Electrocardiography | | Дата актуализации текста: | 01.01.2023 | | Дата актуализации описания: | 01.07.2023 | | Дата издания: | 31.10.2022 | | Дата введения: | 01.03.2023 | | Аутентичен стандартам: | ISO/TS 22077-2:2015 | | Нормативные ссылки: | ISO 22077-1 | | Область применения: | Настоящий стандарт определяет применение правил кодирования формата биосигналов (MFER) для описания стандартных форм биосигналов электрокардиограммы, измеренных в физиологических лабораториях, больничных палатах, клиниках и при медицинских осмотрах первичного звена. Он охватывает электрокардиограммы, такие как в 12 отведениях, 15 отведениях, 18 отведениях, отведение Кабрера, отведение Nehb, отведение Франка, отведение XYZ, а также тесты с физической нагрузкой, которые измеряются контрольным оборудованием, таким как электрокардиографы и мониторы пациента, совместимые с MFER | |
                                        
|