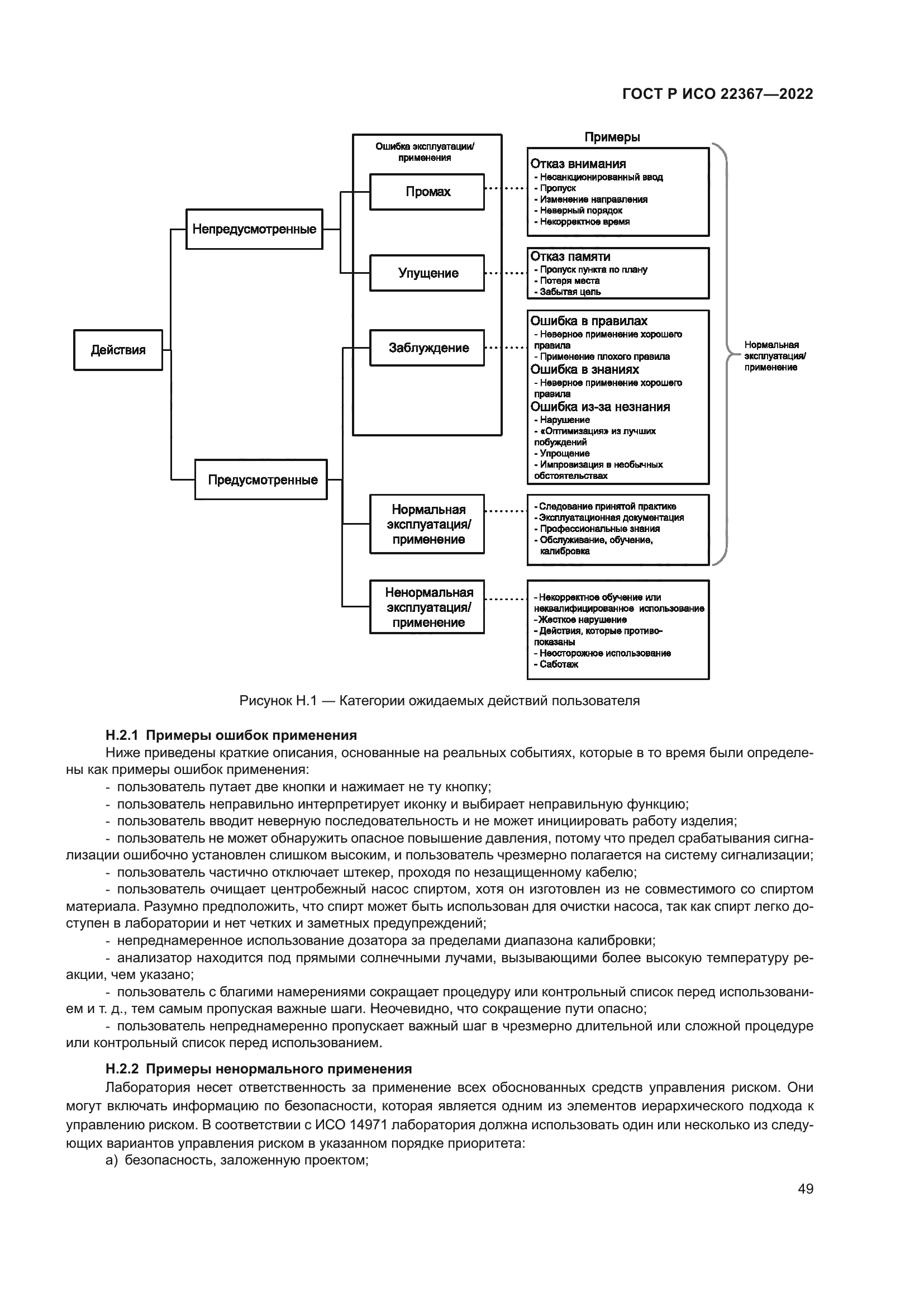
Скачать ГОСТ Р ИСО 22367-2022 Лаборатории медицинские. Применение менеджмента риска в медицинских лабораторияхДата актуализации: 01.06.2025 ГОСТ Р ИСО 22367-2022
Лаборатории медицинские. Применение менеджмента риска в медицинских лабораториях
| Обозначение: |  ГОСТ Р ИСО 22367-2022 |
| Статус: | действующий |
| Название рус.: | Лаборатории медицинские. Применение менеджмента риска в медицинских лабораториях | | Название англ.: | Medical laboratories. Application of risk management to medical laboratories | | Дата актуализации текста: | 01.01.2023 | | Дата актуализации описания: | 01.01.2024 | | Дата издания: | 16.11.2022 | | Дата введения: | 01.09.2023 | | Взамен: | ГОСТ Р 56395-2015 | | Аутентичен стандартам: | ISO 22367:2020 | | Область применения: | Настоящий стандарт устанавливает для медицинской лаборатории требования к процессу идентификации и менеджмента риска для пациентов, лабораторного персонала и поставщиков услуг, которые связаны с медицинскими лабораторными исследованиями. Процесс содержит идентификацию, определение, оценивание, управление и мониторинг рисков. Требования настоящего стандарта применимы ко всем аспектам исследований и услуг медицинской лаборатории, включая аспекты до и после исследования, непосредственно исследования, точную передачу результатов тестов в электронную медицинскую карту и другие технические процессы и процессы менеджмента, описанные в ИСО 15189 | |
                                                                
|