Скачать ГОСТ Р 70289-2022 Информационные технологии. Облачные вычисления. Особенности обработки различных категорий данных в облачных службахДата актуализации: 01.06.2025 ГОСТ Р 70289-2022
Информационные технологии. Облачные вычисления. Особенности обработки различных категорий данных в облачных службах
| Обозначение: |  ГОСТ Р 70289-2022 |
| Статус: | действующий |
| Название рус.: | Информационные технологии. Облачные вычисления. Особенности обработки различных категорий данных в облачных службах | | Название англ.: | Information technology. Cloud computing. Features of processing different categories of data in cloud services | | Дата актуализации текста: | 01.01.2023 | | Дата актуализации описания: | 01.07.2023 | | Дата издания: | 19.09.2022 | | Дата введения: | 30.03.2023 | | Нормативные ссылки: | ГОСТ ISO/IEC 17788; ГОСТ Р ИСО 13008; ГОСТ Р ИСО/МЭК 19941-2021; ГОСТ Р ИСО/МЭК 27000; ГОСТ Р ИСО/МЭК 27001; ГОСТ Р ИСО/МЭК 27017; ГОСТ Р ИСО/МЭК 38500 | | Область применения: | В настоящем стандарте представлено: - определение основ структурированного представления связанных с данными политик и практик в области облачных вычислений на основе таксономии данных с учетом [1]; - руководящие принципы по применению таксономии для обработки данных на основе разделения на категории и классификации данных; - определение политик и практик, связанных с данными, включая, помимо прочего, размещение данных, трансграничную передачу данных, доступ к данным, переносимость данных, использование данных, управление данными, а также корпоративное управление данными; - описание того, как основы могут быть использованы в кодексах поведения для хранения и передачи данных, включая трансграничную передачу данных, а также удаленный доступ к данным; - варианты использования для задач обслуживания данных, то есть контроля, доступа и определения местоположения данных в соответствии с категориями данных (см. [1]). Настоящий стандарт предназначен в первую очередь для поставщиков облачных услуг, потребителей и пользователей облачных служб, а также для всех лиц или организаций, интересы которых включают юридические, политические, технические или другие аспекты управления данными на основе таксономии в облачных услугах | |
                                                    
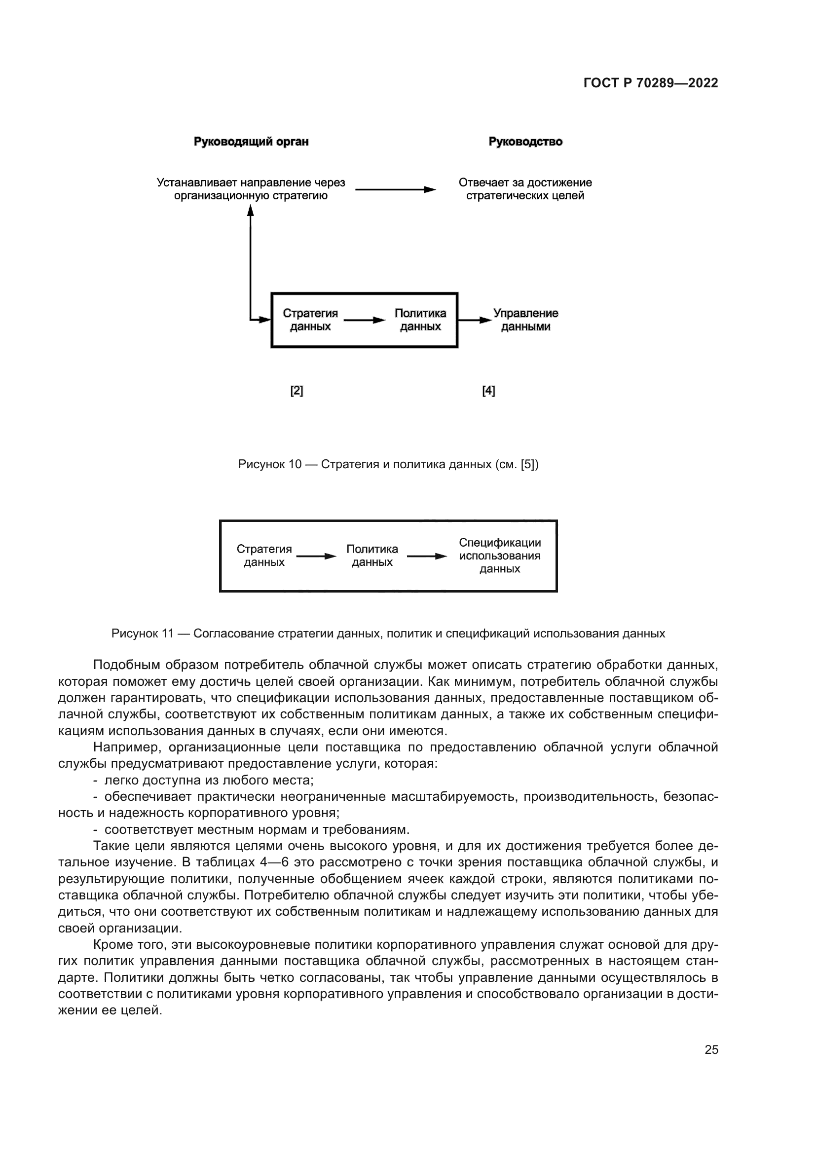
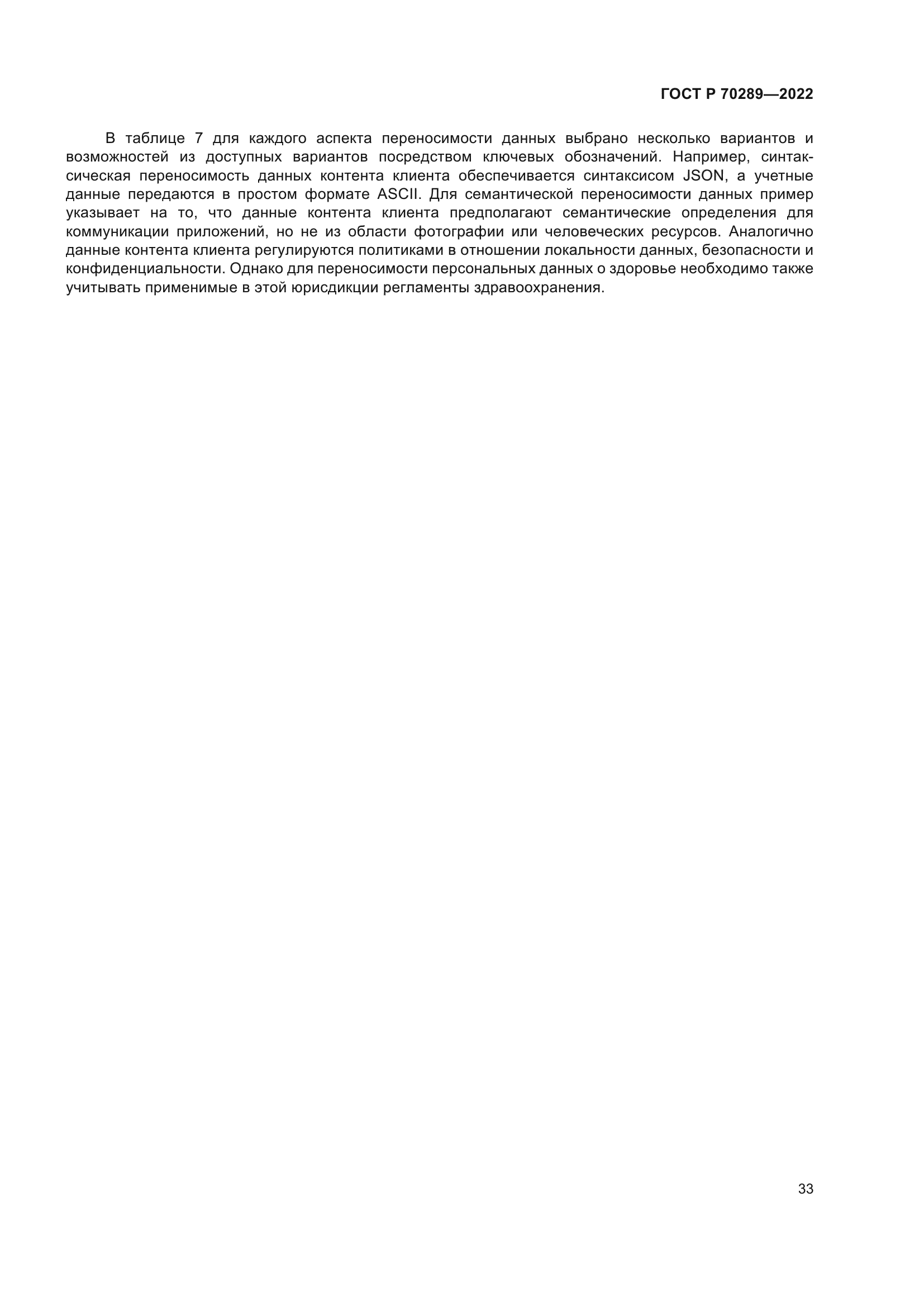
|