Скачать ГОСТ 30165-94 Рельсы типов Р38 И Р43. Технические условияДата актуализации: 01.01.2026
| ||||||||||||||||||||||||||||
| Обозначение: | ![]() ГОСТ 30165-94 |
| Статус: | действующий |
| Название рус.: | Рельсы типов Р38 И Р43. Технические условия |
| Название англ.: | Rails of the Р38 and Р43 types. Technical specifications |
| Дата актуализации текста: | 01.01.2026 |
| Дата актуализации описания: | 01.07.2023 |
| Дата регистрации: | 21.10.1994 |
| Дата издания: | 15.09.2022 |
| Дата введения: | 01.02.2023 |
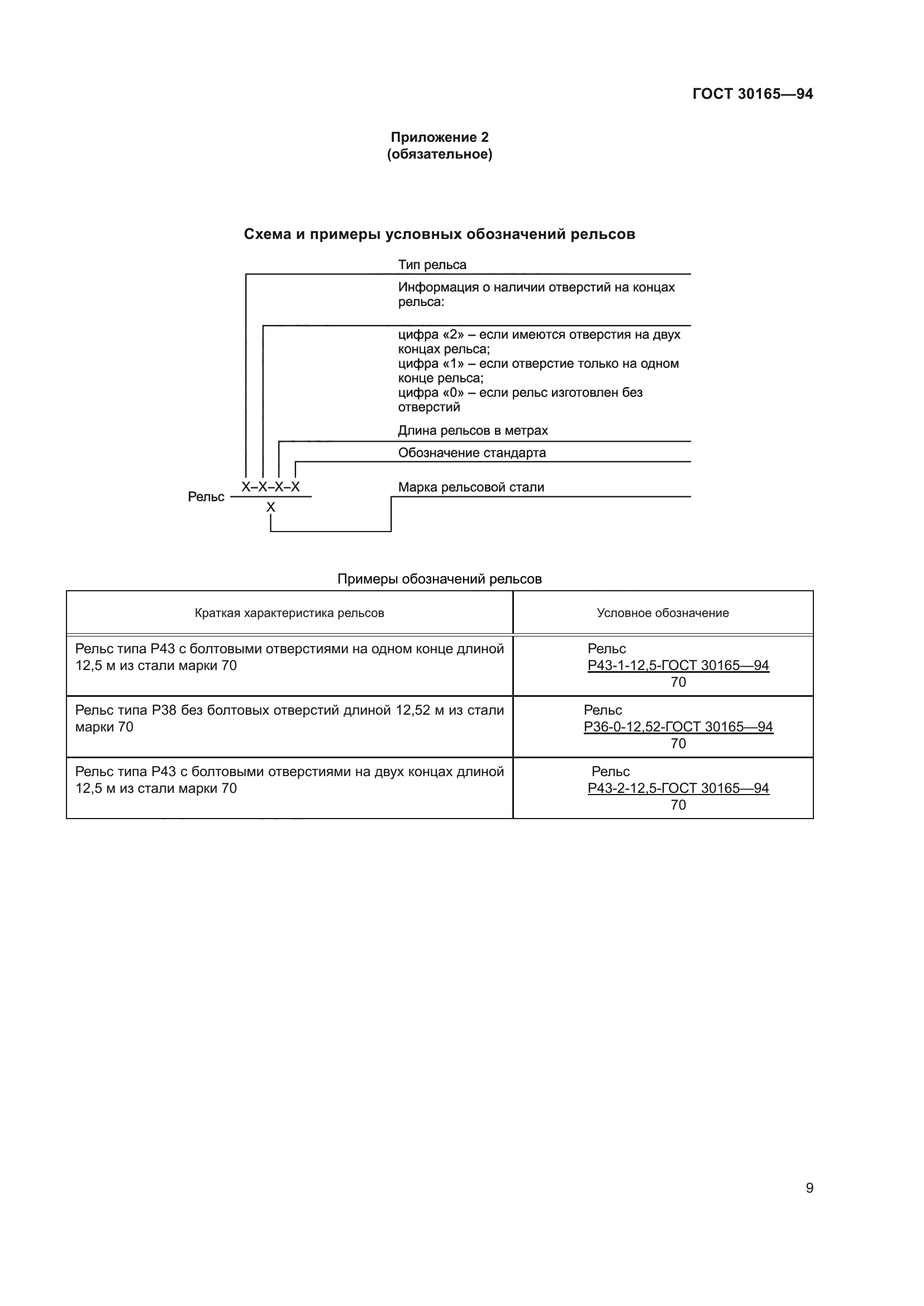
| Область применения: | Настоящий стандарт распространяется на железнодорожные рельсы типов Р38 и Р43 для угольной, горнорудной и других отраслей промышленности. Требования 1.1—1.4, 1.6, 2.1—2.6, 2.8, 2.9 настоящего стандарта являются обязательными, a 1.5, 2,7, 2.10 и 2.11 — рекомендуемыми.Стандарт может быть использован для сертификации рельсов типов Р38 и Р43 |
| Приложение №1: | Поправка к ГОСТ 30165-94 |













| Обозначение: | Поправка к ГОСТ 30165-94 |
| Дата введения: | 04.06.2025 |
