| Обозначение: |  ГОСТ Р 70265.1-2022 |
| Статус: | действующий |
| Название рус.: | Измерение, управление и автоматизация промышленного процесса. Структура цифровой фабрики. Часть 1. Основные положения |
| Название англ.: | Industrial-process measurement, control and automation. Digital factory framework. Part 1. Basic provisions |
| Дата актуализации текста: | 01.01.2023 |
| Дата актуализации описания: | 01.07.2023 |
| Дата издания: | 19.08.2022 |
| Дата введения: | 30.11.2022 |
| Нормативные ссылки: | ГОСТ Р 53889; ГОСТ Р 53890; ГОСТ Р 53891; ГОСТ Р 56213.5; ГОСТ Р ИСО 11354-1; ГОСТ Р ИСО 13584-42; ГОСТ Р ИСО 15704; ГОСТ Р ИСО 15926-1; ГОСТ Р ИСО 19440;ГОСТ ISO 22745-1; ГОСТ Р ИСО/МЭК 11179-1; ГОСТ Р ИСО/МЭК 11179-2; ГОСТ Р ИСО/МЭК 11179-3; ГОСТ Р ИСО/МЭК 11179-4; ГОСТ Р МЭК 61360-2; ГОСТ Р МЭК 62264-1; ГОСТ Р МЭК 62264-2 |
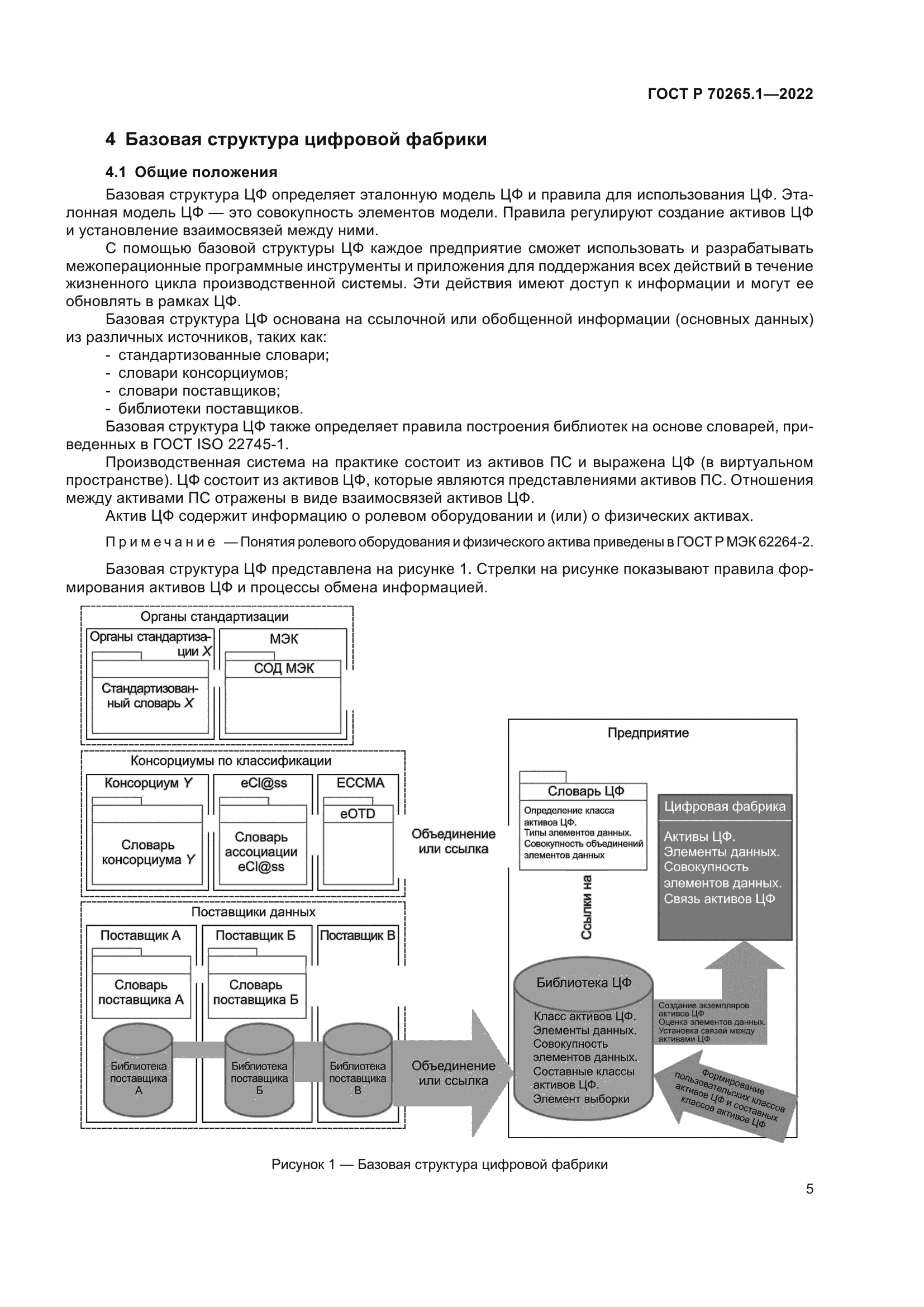
| Область применения: | Настоящий стандарт, будучи технической спецификацией, определяет основные принципы базовой структуры цифровой фабрики (далее – базовая структура ЦФ), представляющей собой совокупность элементов модели (далее – эталонная модель ЦФ) и правил моделирования производственных систем |
|