| Обозначение: |  ГОСТ 30571-2022 |
| Статус: | действующий |
| Название рус.: | Сигареты. Определение содержания влажного и не содержащего никотин сухого конденсата (смолы) в дыме сигарет с помощью лабораторной курительной машины |
| Название англ.: | Cigarettes. Determination of total and nicotine-free dry particulate matter using a routine analytical smoking machine |
| Дата актуализации текста: | 01.01.2023 |
| Дата актуализации описания: | 01.07.2023 |
| Дата регистрации: | 14.07.2022 |
| Дата издания: | 04.08.2022 |
| Дата введения: | 01.01.2023 |
| Взамен: | ГОСТ 30571-2003 |
| Содержит требования: | ISO 4387:2019 |
| Нормативные ссылки: | ГОСТ 3935; ГОСТ 30438; ГОСТ 30570; ГОСТ 30622.1; ГОСТ 30622.2; ГОСТ 31629; ГОСТ 31632; ГОСТ 31634; ГОСТ 34527;ГОСТ ISO 3308-2015; ГОСТ ИСО 3402 |
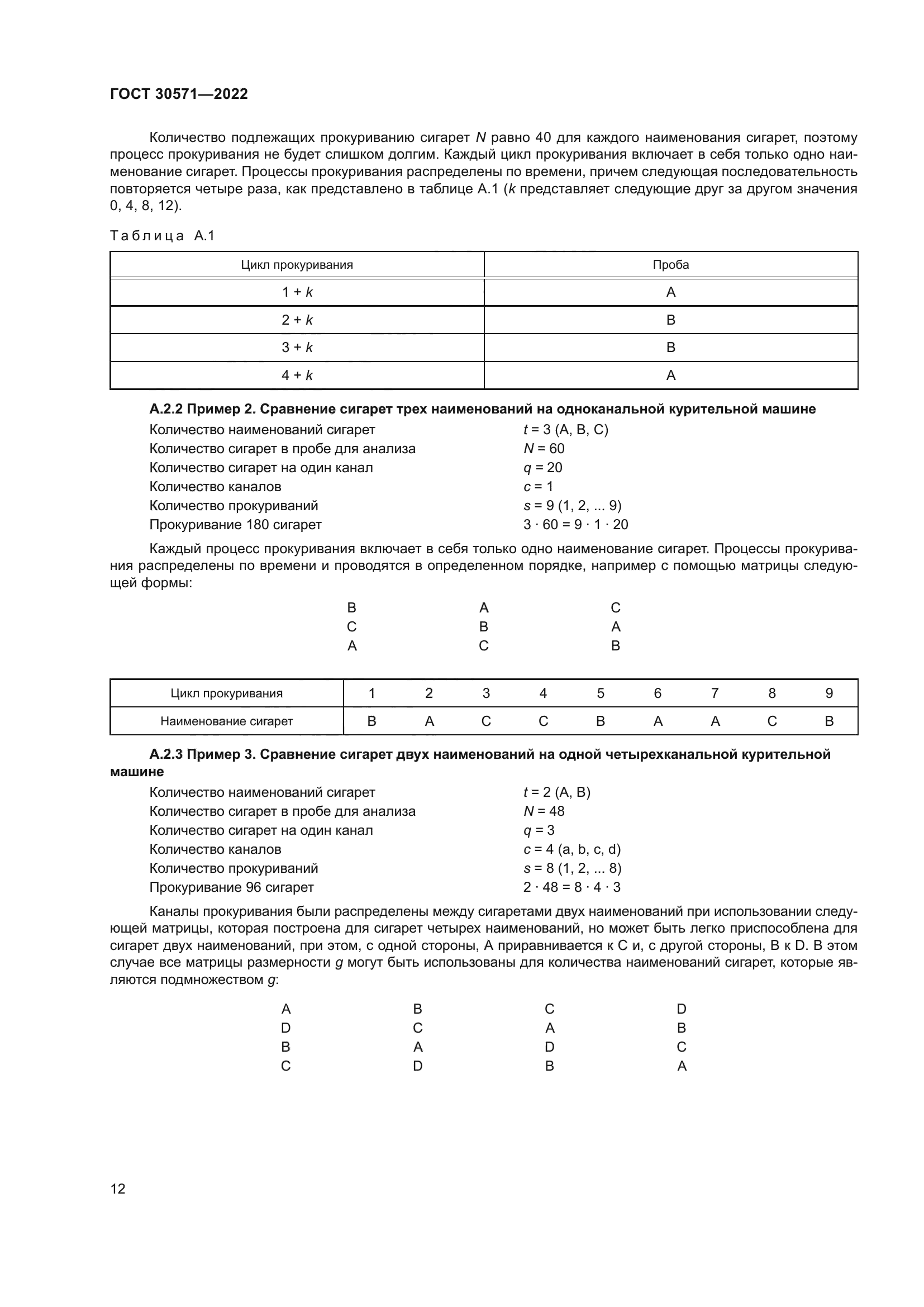
| Область применения: | Настоящий стандарт устанавливает метод определения содержания влажного конденсата с целью последующего определения не содержащего никотин сухого конденсата в главной струе сигаретного дыма, полученной и собранной при использовании обычной лабораторной курительной машины |
|