Скачать ГОСТ Р 70184-2022 Система спутниковой связи «СПУТНИК-А». Процессы формирования кадровой структуры, канального кодирования, модуляции для системы цифровой спутниковой связи. Технические условияДата актуализации: 01.06.2025 ГОСТ Р 70184-2022
Система спутниковой связи «СПУТНИК-А». Процессы формирования кадровой структуры, канального кодирования, модуляции для системы цифровой спутниковой связи. Технические условия
| Обозначение: |  ГОСТ Р 70184-2022 |
| Статус: | действующий |
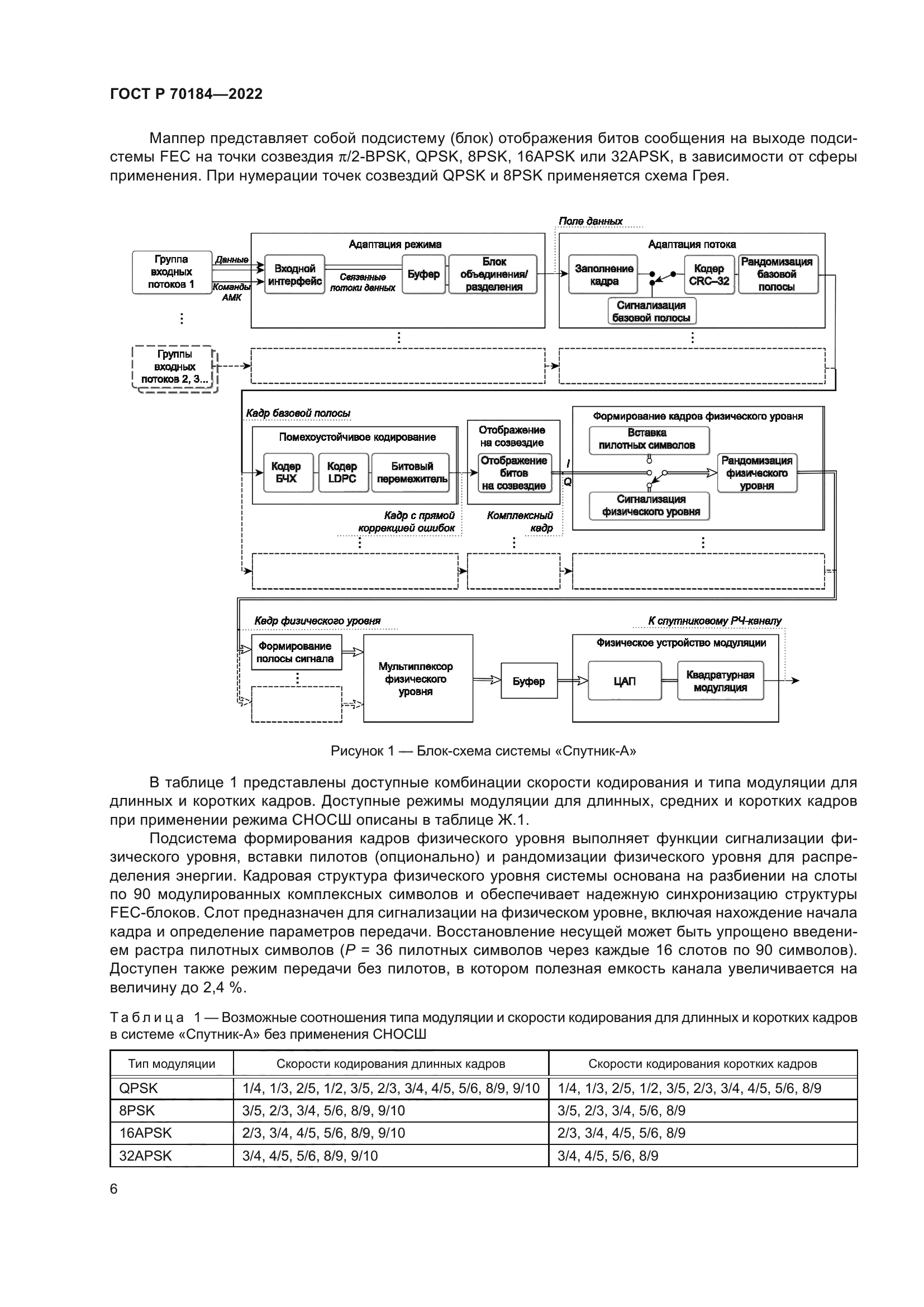
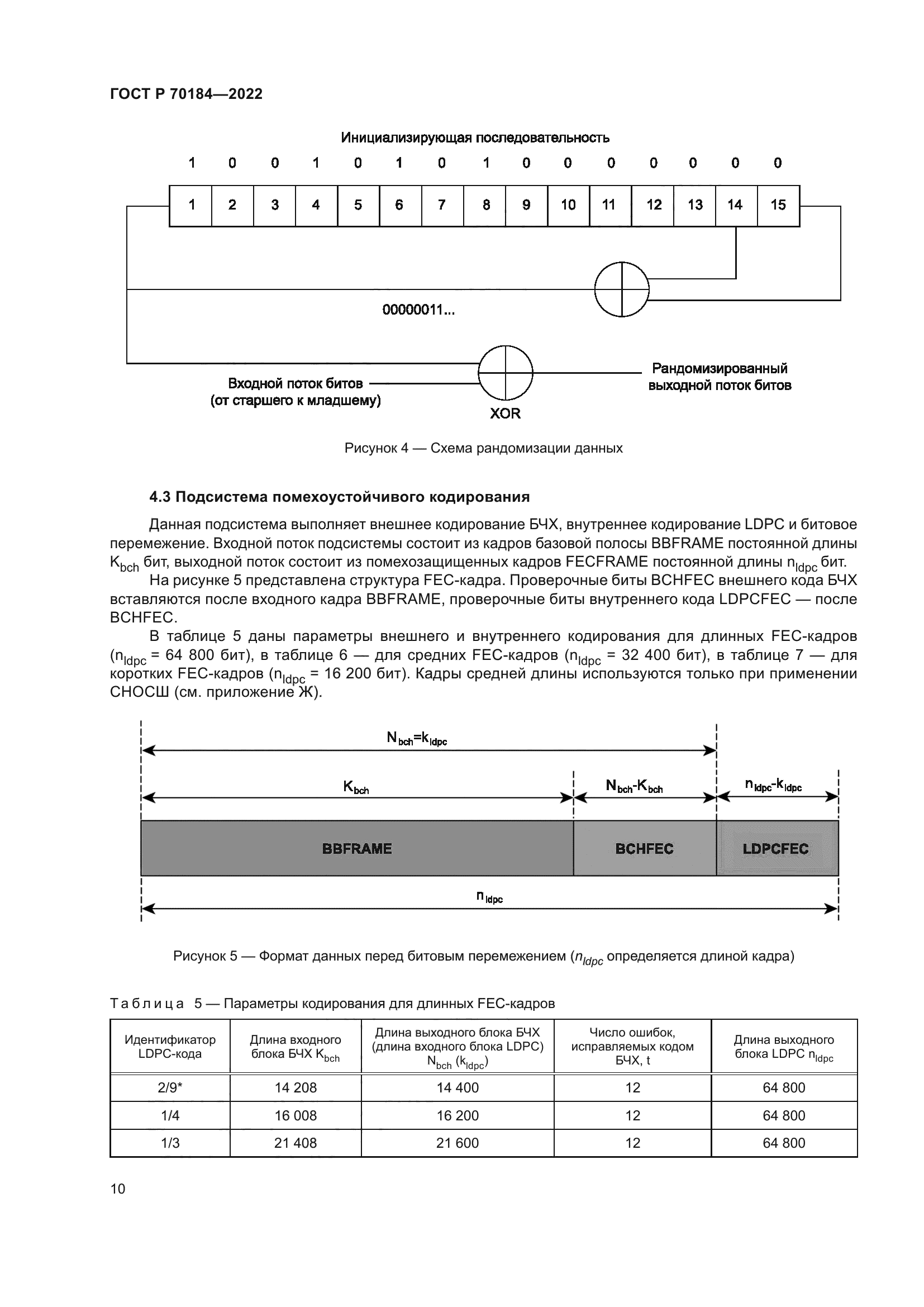
| Название рус.: | Система спутниковой связи «СПУТНИК-А». Процессы формирования кадровой структуры, канального кодирования, модуляции для системы цифровой спутниковой связи. Технические условия | | Название англ.: | Satellite communication system «Sputnik-A». Framing structure, channel coding and modulation for digital satellite communication system. Specifications | | Дата актуализации текста: | 01.01.2023 | | Дата актуализации описания: | 01.07.2023 | | Дата издания: | 22.07.2022 | | Дата введения: | 01.02.2023 | | Область применения: | Настоящий стандарт распространяется на систему спутниковой передачи данных «Спутник-А». Она предназначена для обеспечения устойчивой защищенной связи и высокоскоростной передачи данных в спутниковых сетях силовых структур, в том числе для обеспечения доступа удаленных и труднодоступных мест Арктического региона к информационным и телекоммуникационным сетям. «Спутник-А» позволяет производить передачу одного или нескольких потоков данных произвольных форматов. Система коррекции ошибок реализована на основе сочетания LDPC- и БЧХ-кодов, позволяющего осуществлять квазибезошибочное восстановление на расстоянии от 0,7 до 1,0 дБ от границы Шеннона, в зависимости от выбранного режима передачи. Выбор скорости кодирования в диапазоне от 1/8 до 9/10 и одного из пяти режимов модуляции со спектральной эффективностью от 1 до 5 бит/с/Гц позволяет установить требуемый баланс между качеством и скоростью передачи. Для работы в условиях сверхнизкого отношения сигнал/шум разработана группа специальных режимов передачи. Форма спектра сигнала задается одним из трех значений коэффициента сглаживания: 0,35; 0,25 и 0,2. Система предоставляет возможность использования адаптивной схемы модуляции и кодирования (АМК), позволяющей изменять параметры передачи от кадра к кадру на основании данных, получаемых по обратному канала от устройства получателя | |
                                                                
|