| Обозначение: |  ГОСТ Р 59997-2022 |
| Статус: | действующий |
| Название рус.: | Нефтяная и газовая промышленность. Сооружения нефтегазопромысловые морские. Постановка самоподъемных плавучих буровых установок с учетом условий площадок установки |
| Название англ.: | Petroleum and natural gas industry. Offshore oil and gas field structures. Position of jack-up floating drilling rigs taking into account the conditions of the installation sites |
| Дата актуализации текста: | 01.01.2023 |
| Дата актуализации описания: | 01.07.2023 |
| Дата издания: | 09.06.2022 |
| Дата введения: | 01.07.2022 |
| Аутентичен стандартам: | ISO 19905-2:2016 |
| Нормативные ссылки: | ГОСТ Р 54483; ГОСТ Р 57123; ГОСТ Р 57148-2016; ГОСТ Р 57555; ГОСТ Р 59995;СП 11-114-2004;СП 47.13330.2016;СП 446.1325800.2019 |
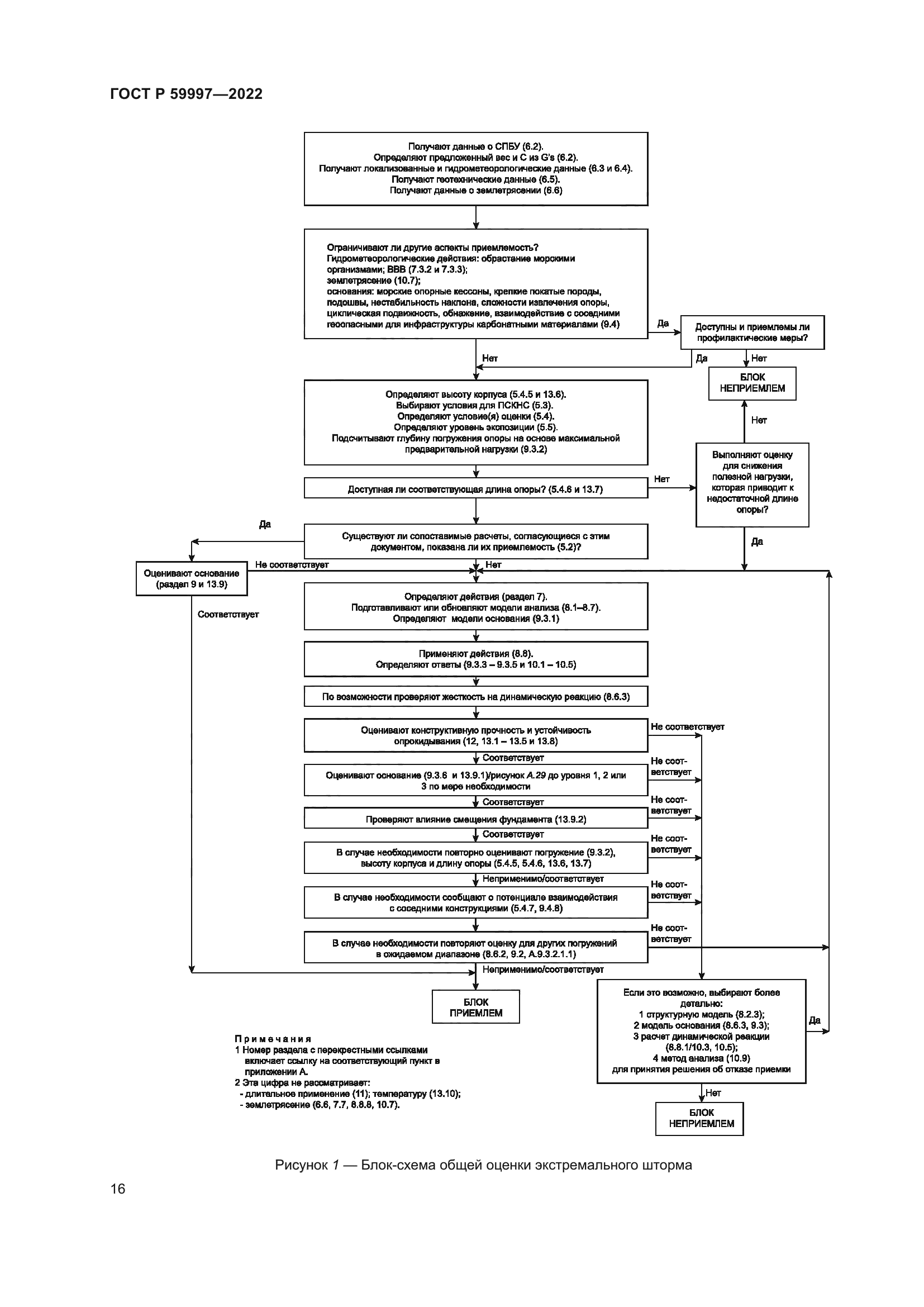
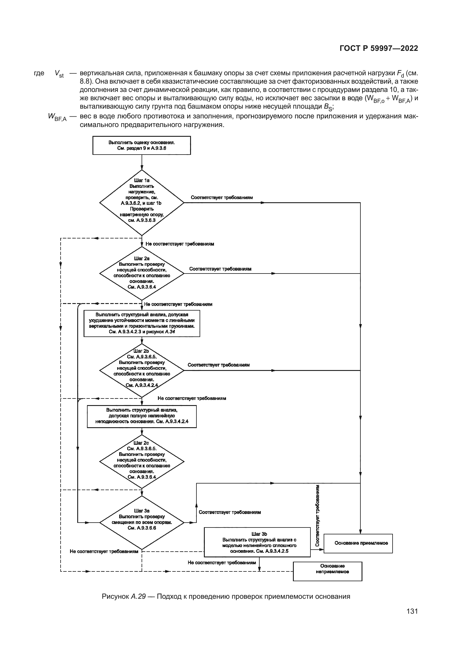
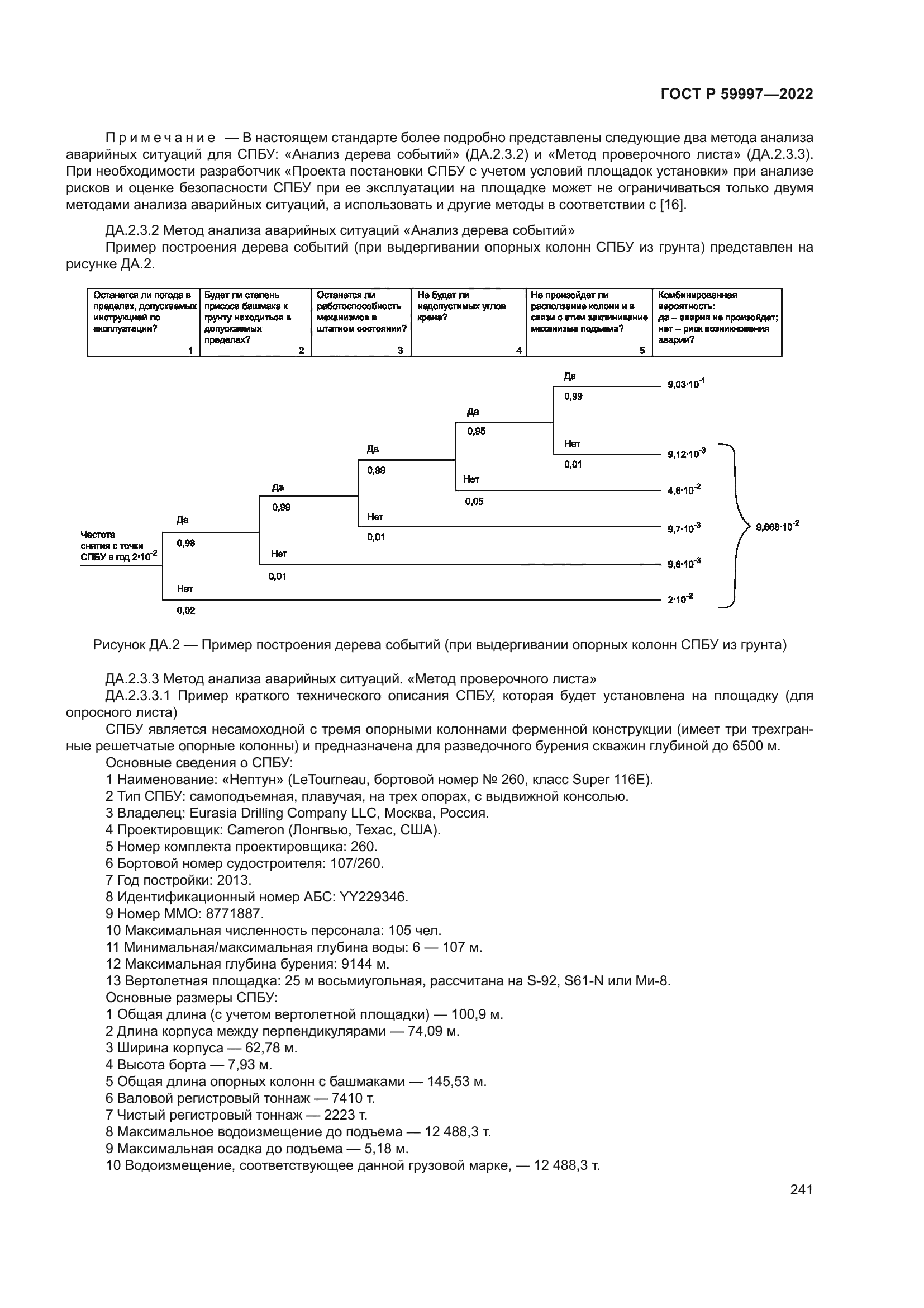
| Область применения: | Настоящий стандарт устанавливает требования и рекомендации для оценки постановки самоподъемных плавучих буровых установок (СПБУ) на континентальном шельфе, внутренних морских водах, территориальном море, прилежащей зоне Российской Федерации и в российском секторе Каспийского моря с учетом условий на площадках постановки на основе гидрометеорологических и инженерно-геологических данных. Настоящий стандарт регулирует вопросы установки на конкретной площадке СПБУ, включая СПБУ с персоналом (как эвакуируемым, так и неэвакуируемым) и без персонала на борту. Для обеспечения приемлемой надежности положения настоящего стандарта формируют комплексный подход, который используется во всей полноте для оценки СПБУ с учетом условий площадки постановки |
|