| Обозначение: |  ГОСТ Р 70025-2022 |
| Статус: | действующий |
| Название рус.: | Дистанционное зондирование Земли из космоса. Данные дистанционного зондирования земли из космоса. Порядок коррекции данных |
| Название англ.: | Remote sensing of the Earth from space. Remote sensing data of the Earth from space. Data correction procedure |
| Дата актуализации текста: | 01.01.2023 |
| Дата актуализации описания: | 01.07.2023 |
| Дата издания: | 30.05.2022 |
| Дата введения: | 01.09.2022 |
| Нормативные ссылки: | ГОСТ Р 59080; ГОСТ Р 59085; ГОСТ Р 59086; ГОСТ Р 59314; ГОСТ Р 59475; ГОСТ Р 59476; ГОСТ Р 59477; ГОСТ Р 59480-2021; ГОСТ Р 59753; ГОСТ Р 59755; ГОСТ Р 59759; ГОСТ Р 59760; ГОСТ Р 59829; ГОСТ Р 70027 |
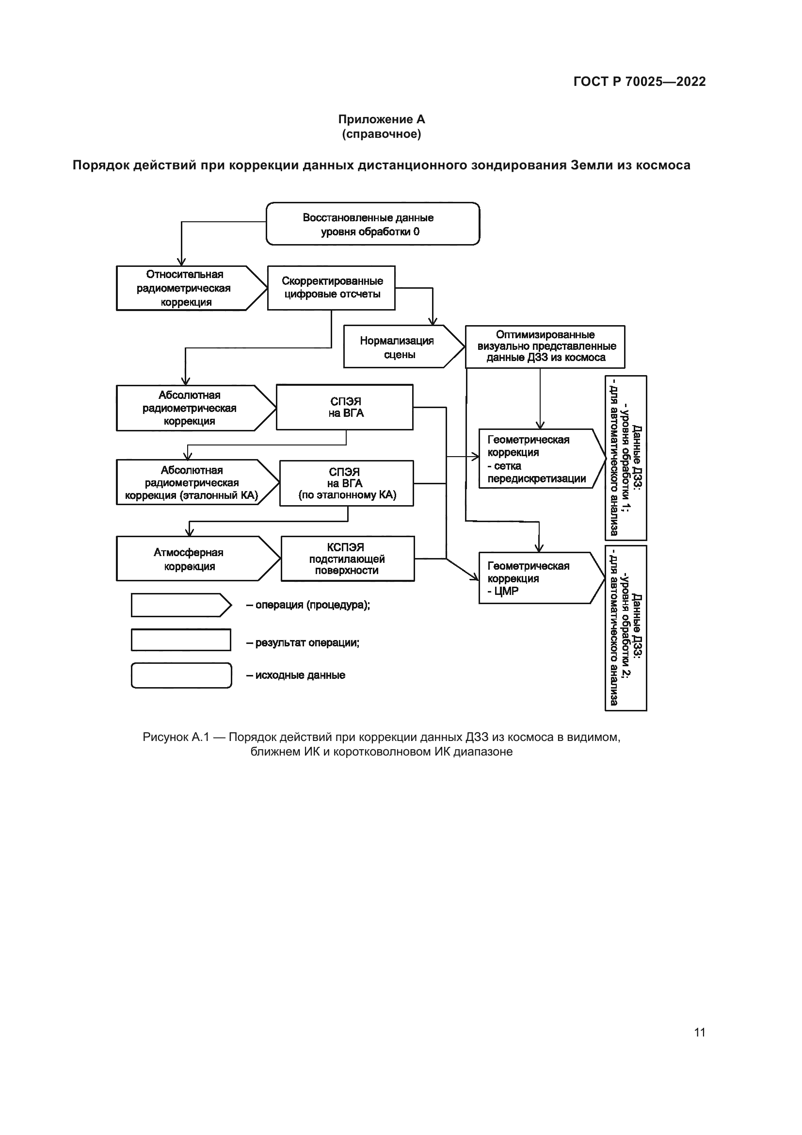
| Область применения: | Настоящий стандарт предназначен для применения организациями, участвующими в разработке и эксплуатации космических систем дистанционного зондирования Земли и создании продуктов дистанционного зондирования Земли из космоса. Настоящий стандарт устанавливает порядок проведения коррекции, включая радиометрическую, геометрическую и атмосферную коррекции данных дистанционного зондирования Земли из космоса, полученных с оптических и радиолокационных космических систем, в части технологического процесса ее проведения для данных уровня обработки 1 и 2 и формирования стандартных продуктов обработки и данных дистанционного зондирования Земли для автоматического анализа |
|