| Обозначение: |  ГОСТ Р 59824-2021 |
| Статус: | действующий |
| Название рус.: | Магистральный трубопроводный транспорт нефти и нефтепродуктов. Оборудование резервуарное. Затворы плавающих крыш. Общие технические условия |
| Название англ.: | Trunk pipeline transport of oil and oil products. Storage tank equipment. Floating roof gates. General specifications |
| Дата актуализации текста: | 01.01.2023 |
| Дата актуализации описания: | 01.07.2023 |
| Дата издания: | 02.12.2021 |
| Дата введения: | 01.04.2022 |
| Нормативные ссылки: | ГОСТ 2.503; ГОСТ 8.050; ГОСТ 8.051; ГОСТ 8.549; ГОСТ 9.005; ГОСТ 9.014; ГОСТ 12.1.004; ГОСТ 12.1.005; ГОСТ 12.1.007; ГОСТ 12.1.010; ГОСТ 12.2.003; ГОСТ 12.2.049; ГОСТ 12.3.002; ГОСТ 12.3.009; ГОСТ 12.3.020; ГОСТ 15.309; ГОСТ 27.002; ГОСТ 27.003; ГОСТ 515; ГОСТ 2199; ГОСТ 5264; ГОСТ 8828; ГОСТ 9150; ГОСТ 10549; ГОСТ 11534; ГОСТ 14192; ГОСТ 14771; ГОСТ 15150; ГОСТ 16037; ГОСТ 16310; ГОСТ 21140; ГОСТ 21752; ГОСТ 23170; ГОСТ 24297; ГОСТ 24643; ГОСТ 24705; ГОСТ 26805; ГОСТ 30535; ГОСТ 30852.9; ГОСТ 31610.20-1; ГОСТ 31613; ГОСТ 33272; ГОСТ Р 8.568; ГОСТ Р 15.301; ГОСТ Р 27.301; ГОСТ Р 51672; ГОСТ Р 56155; ГОСТ Р 57432; ГОСТ Р 58068;СП 14.13330.2018;СП 20.13330.2016 |
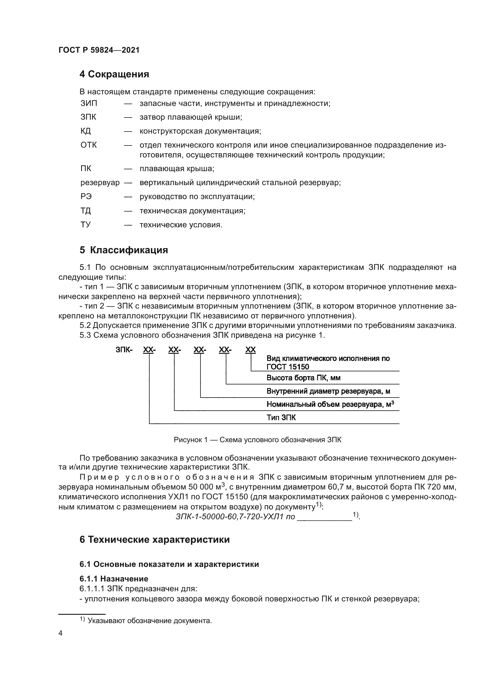
| Область применения: | Настоящий стандарт распространяется на затворы плавающих крыш, предназначенные для вертикальных цилиндрических стальных резервуаров для нефти и нефтепродуктов, применяемых на объектах магистрального трубопровода для транспортировки нефти и нефтепродуктов |
|