| Обозначение: |  ГОСТ Р 59809-2021 |
| Статус: | действующий |
| Название рус.: | Телевидение вещательное цифровое. Расширенные технические требования к передаче транспортных потоков служб DVB по сетям с IP-протоколами. Часть 5. Качество службы. Возобновляемость системы. Динамическое управление службой. Основные параметры |
| Название англ.: | Digital video broadcasting. Extended technical requirements for transmitting DVB service transport streams over networks with IP protocols. Part 5. Quality of service. The renewability of the system. Dynamic service management. Basic parameters |
| Дата актуализации текста: | 01.01.2023 |
| Дата актуализации описания: | 01.07.2023 |
| Дата издания: | 22.11.2021 |
| Дата введения: | 01.06.2022 |
| Нормативные ссылки: | ГОСТ Р 53528; ГОСТ Р 54994; ГОСТ Р 55697; ГОСТ Р 56170 |
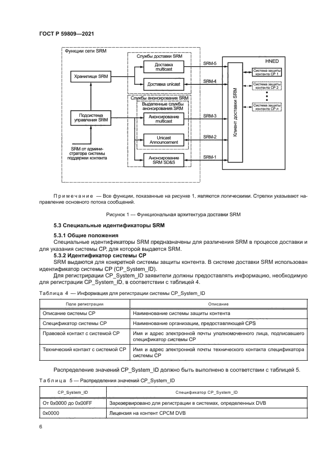
| Область применения: | Настоящий стандарт предусматривает расширение набора спецификаций ГОСТ Р 54994, относящихся к передаче служб DVB в транспортных потоках MPEG-2, по двунаправленным IP-сетям добавлением поддержки: - классификации типа данных; - доставки сообщений возобновления систем защиты контента через IP-сети; - динамического управления службой; - служб загрузки SRM; - функциональной архитектуры доставки SRM; - маркировки пакетов кодовых точек дифференцированных служб. Требования настоящего стандарта следует учитывать при разработке, изготовлении и эксплуатации устройств DVB, а также при разработке, проектировании и эксплуатации программного обеспечения сетей DVB |
|