| Обозначение: |  ГОСТ Р 70006-2022 |
| Статус: | действующий |
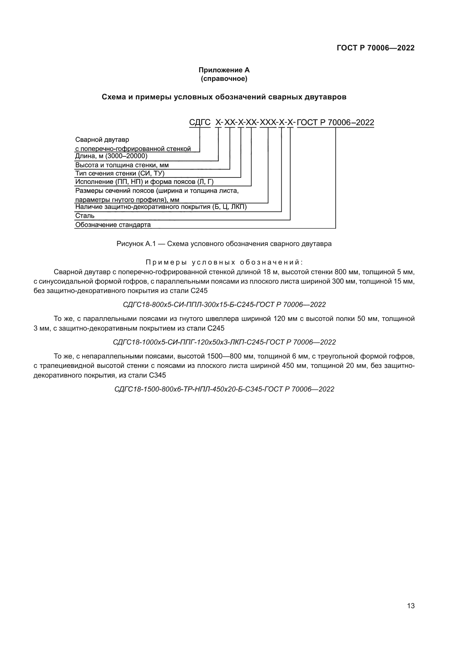
| Название рус.: | Двутавры стальные сварные с поперечно-гофрированной стенкой для строительных конструкций. Технические условия |
| Название англ.: | I-beam steel structures with transverse corrugated walls. Specifications |
| Дата актуализации текста: | 01.06.2022 |
| Дата актуализации описания: | 01.07.2023 |
| Дата издания: | 22.02.2022 |
| Дата введения: | 01.09.2022 |
| Нормативные ссылки: | ГОСТ 9.032; ГОСТ 9.302; ГОСТ 9.402; ГОСТ 12.1.004; ГОСТ 12.1.019; ГОСТ 12.2.029; ГОСТ 12.2.107; ГОСТ 82; ГОСТ 166; ГОСТ 427; ГОСТ 1759.0; ГОСТ 2246; ГОСТ 5264; ГОСТ 6996; ГОСТ 7502; ГОСТ 7566; ГОСТ 8050; ГОСТ 8278-83; ГОСТ 8713; ГОСТ 9087; ГОСТ 9467; ГОСТ 10157; ГОСТ 11533; ГОСТ 11534; ГОСТ 14192; ГОСТ 14637; ГОСТ 14771; ГОСТ 15150; ГОСТ 16523; ГОСТ 19903; ГОСТ 21014 ; ГОСТ 21779; ГОСТ 23118-2019; ГОСТ 23518-79; ГОСТ 24297; ГОСТ 26433.1; ГОСТ 27772; ГОСТ 30775; ГОСТ 32484.1; ГОСТ 32484.3; ГОСТ Р 58033 |
| Область применения: | Настоящий стандарт распространяется на стальные сварные двутавры с поперечно-гофрированными стенками (далее – сварные двутавры) для строительных конструкций и устанавливает требования к их изготовлению. Настоящий стандарт предназначен для применения сварных двутавров в несущих конструкциях каркасов, перекрытий и покрытий вновь строящихся и реконструируемых зданий и сооружений любого уровня ответственности во всех климатических районах Российской Федерации |
|