| Обозначение: |  ГОСТ Р 43.0.28-2022 |
| Статус: | действующий |
| Название рус.: | Информационное обеспечение техники и операторской деятельности. Базы знаний в интеллектуализации деятельности |
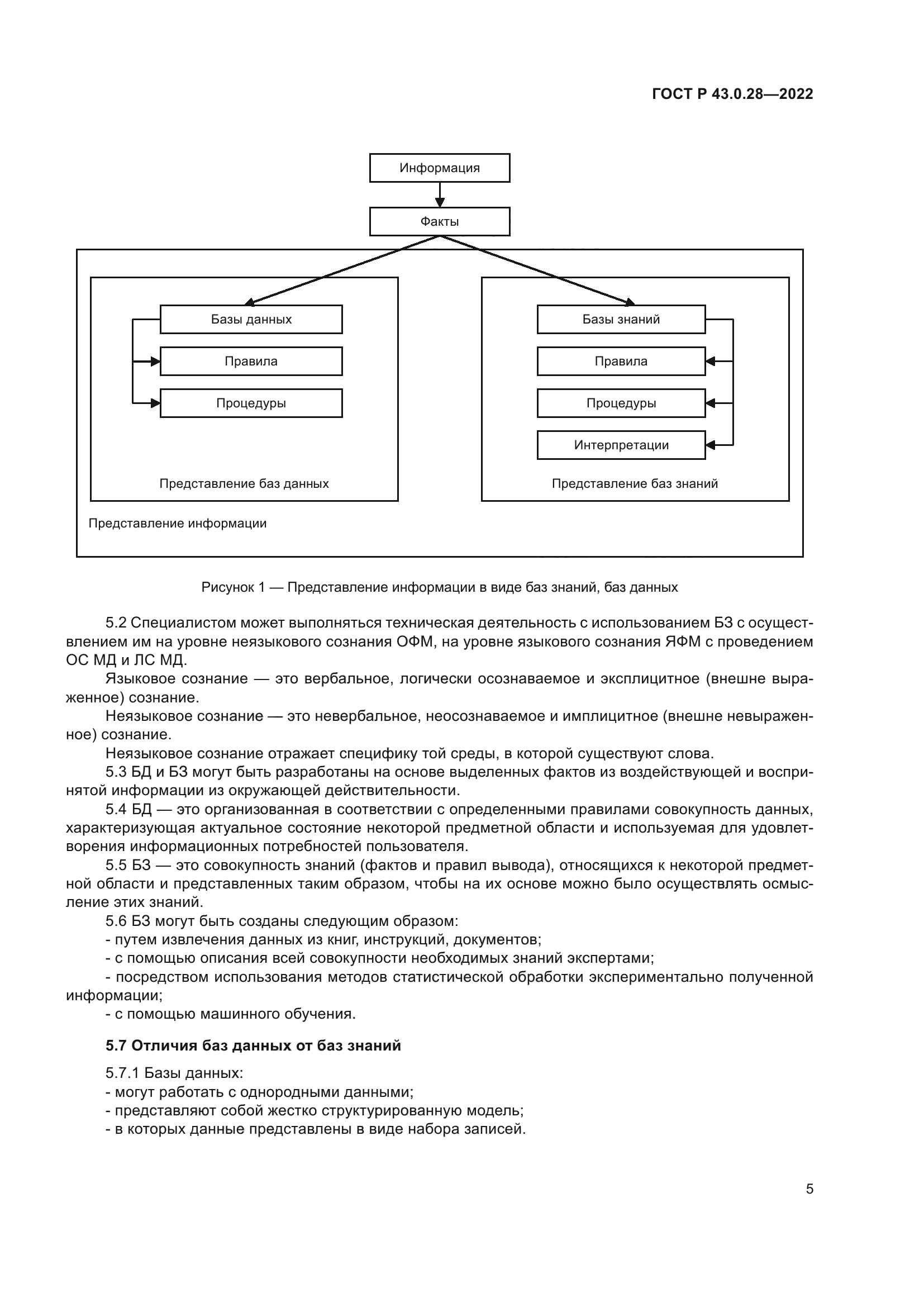
| Название англ.: | Informational ensuring of equipment and operational activity. Knowledge bases in the intellectualization of activities |
| Дата актуализации текста: | 01.06.2022 |
| Дата актуализации описания: | 01.07.2023 |
| Дата издания: | 08.02.2022 |
| Дата введения: | 01.06.2022 |
| Нормативные ссылки: | ГОСТ Р 43.0.1; ГОСТ Р 43.0.2; ГОСТ Р 43.0.3; ГОСТ Р 43.0.5; ГОСТ Р 43.0.6; ГОСТ Р 43.2.1; ГОСТ Р 43.4.1 |
| Область применения: | Настоящий стандарт, входящий в систему стандартов информационного обеспечения техники и операторской деятельности, устанавливает общие и основные положения, относящиеся к базам знаний (БЗ) в интеллектуализации деятельности (ИД). С использованием положений настоящего стандарта специалист может выполнять техническую деятельность с использованием БЗ из информциологии и информционики с осуществлением им соответственно общего функционирования мышления (ОФМ), с проведением общесемантизированной мыслительной деятельности (ОС МД) и языкового функционирования мышления (ЯФМ) и лингвосемантизированной мыслительной деятельности (ЛС МД) |
|