| Обозначение: |  ГОСТ Р 43.0.29-2022 |
| Статус: | действующий |
| Название рус.: | Информационное обеспечение техники и операторской деятельности. Обмен информационный |
| Название англ.: | Informational ensuring of equipment and operational activity. Exchange of information |
| Дата актуализации текста: | 01.06.2022 |
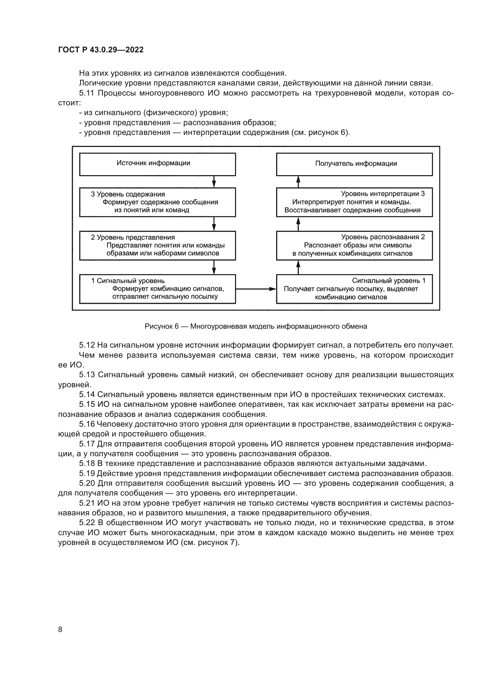
| Дата актуализации описания: | 01.07.2023 |
| Дата издания: | 08.02.2022 |
| Дата введения: | 01.06.2022 |
| Нормативные ссылки: | ГОСТ Р 43.0.1; ГОСТ Р 43.0.2; ГОСТ Р 43.0.3; ГОСТ Р 43.0.5; ГОСТ Р 43.0.6; ГОСТ Р 43.2.1; ГОСТ Р 43.4.1 |
| Область применения: | Настоящий стандарт устанавливает общие и основные положения, относящиеся к информационному обмену (ИО), образующемуся при осуществлении технической деятельности. Положения настоящего стандарта могут быть осуществлены для целенаправленного применения техники с использованием при этом оптимизированного ИО |
|