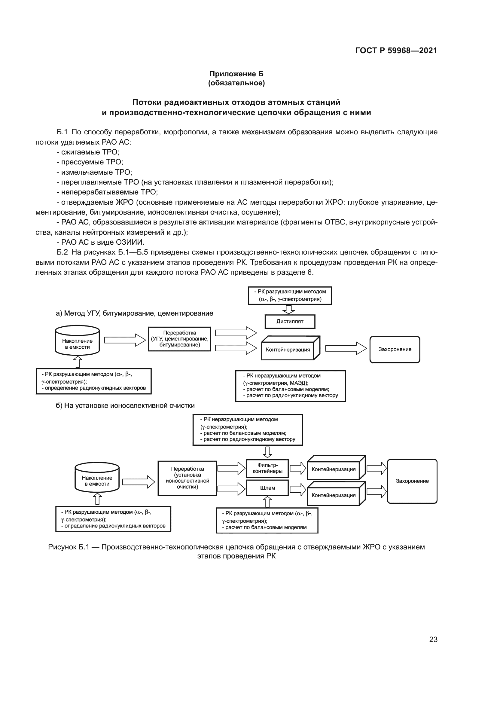
Скачать ГОСТ Р 59968-2021 Радиоактивные отходы атомных станций. Определение радиационных характеристик для передачи на захоронениеДата актуализации: 01.06.2025 ГОСТ Р 59968-2021
Радиоактивные отходы атомных станций. Определение радиационных характеристик для передачи на захоронение
| Обозначение: |  ГОСТ Р 59968-2021 |
| Статус: | действующий |
| Название рус.: | Радиоактивные отходы атомных станций. Определение радиационных характеристик для передачи на захоронение | | Название англ.: | Radiactive waste produced by nuclear power plants. Radiation characteristics determination for transfer to disposal | | Дата актуализации текста: | 01.06.2022 | | Дата актуализации описания: | 01.07.2023 | | Дата издания: | 01.02.2022 | | Дата введения: | 01.03.2022 | | Нормативные ссылки: | ГОСТ 8.638; ГОСТ 26874; ГОСТ 28271; ГОСТ Р ИСО 9000 | | Область применения: | Настоящий стандарт распространяется на радиоактивные отходы, образующиеся на атомных станциях с реакторными установками различного типа в условиях их нормальной эксплуатации, отклонений от нормальной эксплуатации, вывода из эксплуатации, и устанавливает принципы, критерии и процедуру определения перечня контролируемых в радиоактивных отходах атомных станций радионуклидов, требования к организации и проведению контроля радиационных характеристик радиоактивных отходов атомных станций для передачи на захоронение, порядок определения категории и класса радиоактивных отходов для передачи на захоронение. Настоящий стандарт предназначен для применения эксплуатирующими, проектными, научными организациями, а также специализированными организациями, выполняющими работы и (или) оказывающими услуги эксплуатирующим организациям по обращению с образу-ющимися и накопленными радиоактивными отходами, при определении радиационных характеристик радиоактивных отходов атомных станций для передачи на захоронение национальному оператору по обращению с радиоактивными отходами в соответствии с [1] | |
                                      
|