| Обозначение: |  ГОСТ Р 59890-2021 |
| Статус: | действующий |
| Название рус.: | Автомобильные транспортные средства. Выбросы загрязняющих веществ с отработавшими газами. Технические требования и методы испытаний на базе всемирной согласованной процедуры испытания транспортных средств малой грузоподъемности и испытаний в реальных условиях эксплуатации |
| Название англ.: | Motor vehicles. Emissions of pollutants with exhaust gases. Specifications and test methods based on a globally harmonized vehicle test procedure light-duty and real-world testing exploitation |
| Дата актуализации текста: | 01.06.2022 |
| Дата актуализации описания: | 01.06.2022 |
| Дата издания: | 10.01.2022 |
| Дата введения: | 01.04.2022 |
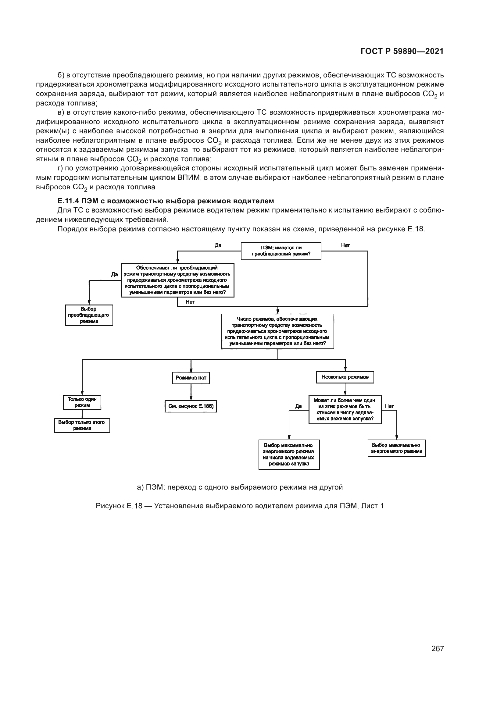
| Область применения: | Настоящий стандарт распространяется на транспортные средства (ТС) категорий 1-2 и 2 в соответствии с [1], и на все ТС категорий 1-1, которые удовлетворяют условиям в отношении эталонных видов топлива, испытательного оборудования и калибровки, изложенным в [2]. Выбор цикла испытаний зависит от соотношения номинальной мощности испытуемого ТС и его массы в снаряженном состоянии, а также от его максимальной скорости согласно классификации ТС в соответствии с приложением А |
|