Скачать ГОСТ Р МЭК 62566-2021 HDL-Программируемые устройства систем контроля и управления атомной станции, выполняющие функции безопасности категории А. Требования к разработкеДата актуализации: 01.06.2025 ГОСТ Р МЭК 62566-2021
HDL-Программируемые устройства систем контроля и управления атомной станции, выполняющие функции безопасности категории А. Требования к разработке
| Обозначение: |  ГОСТ Р МЭК 62566-2021 |
| Статус: | действующий |
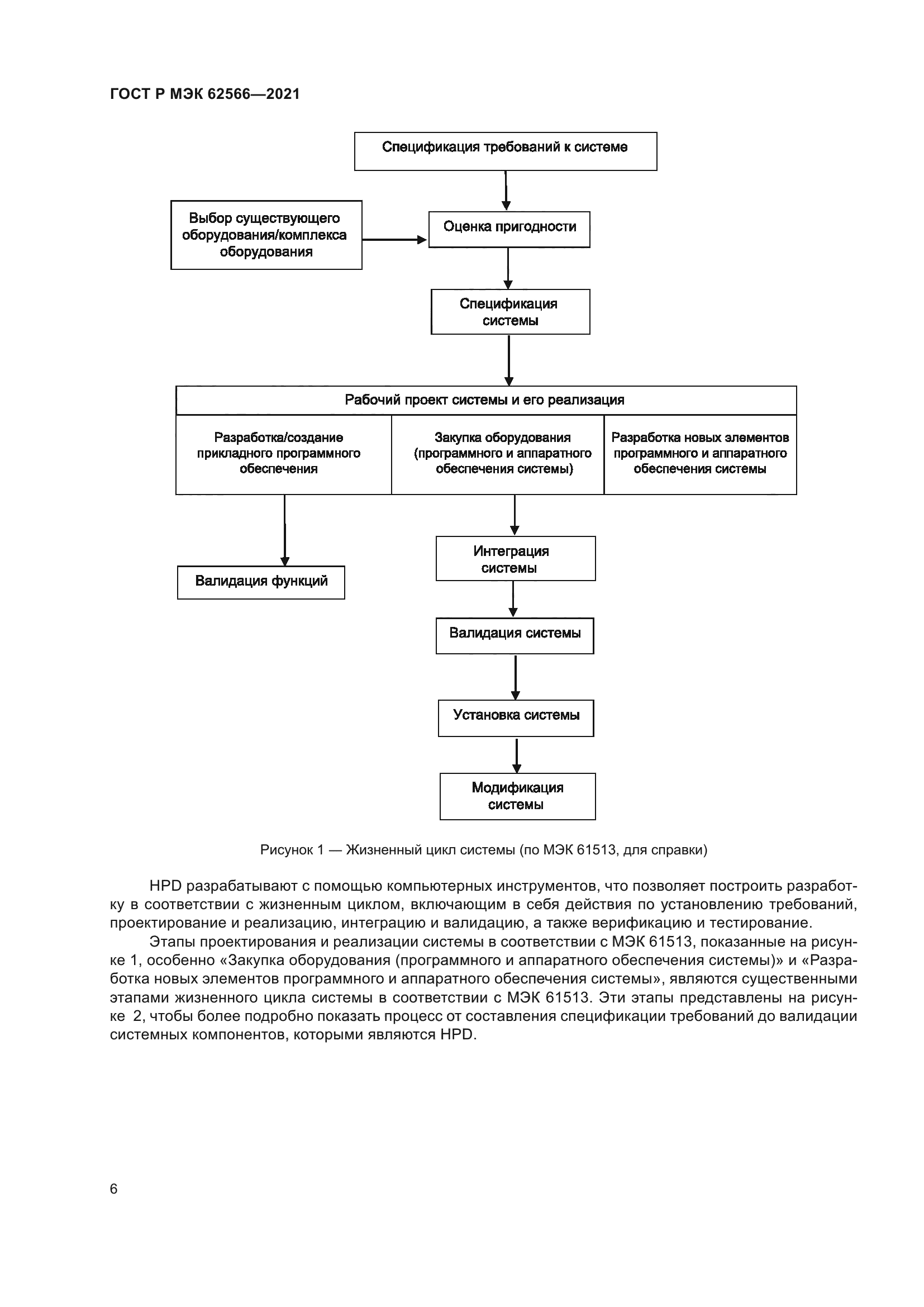
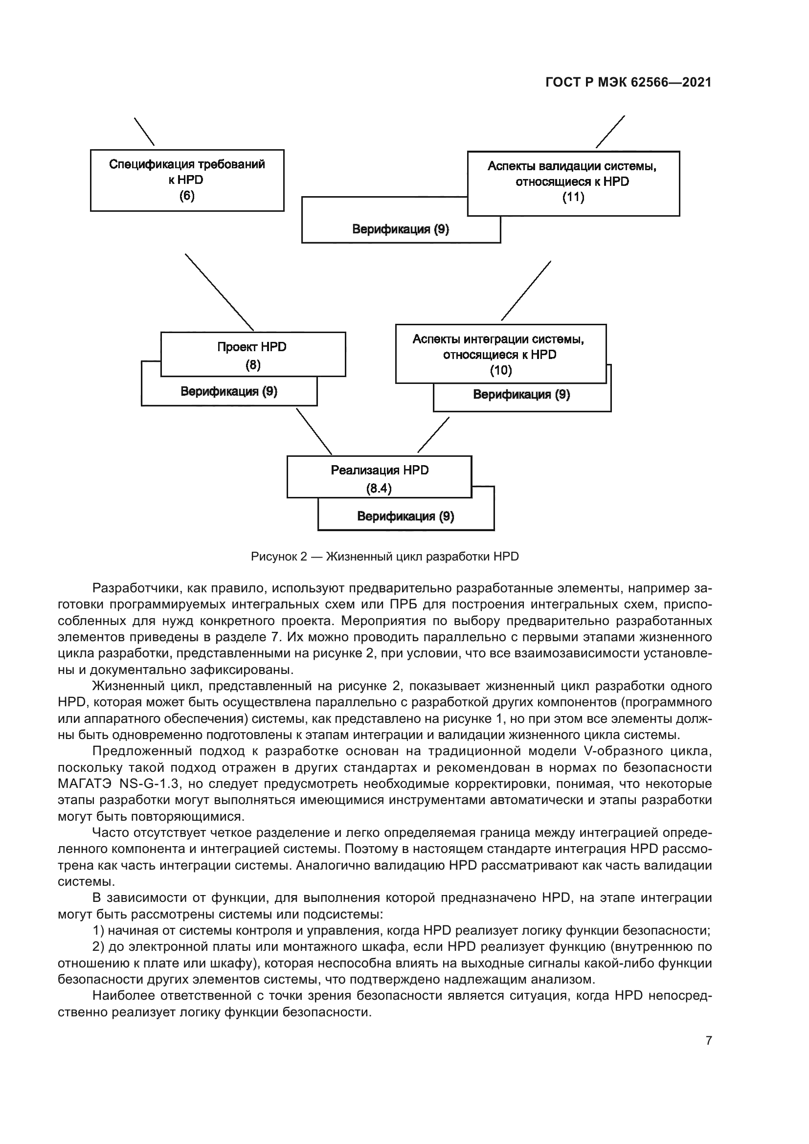
| Название рус.: | HDL-Программируемые устройства систем контроля и управления атомной станции, выполняющие функции безопасности категории А. Требования к разработке | | Название англ.: | HDL-programmed devices for instrumentation and control systems of a nuclear power plant, performing category A safety functions. Development requirements | | Дата актуализации текста: | 01.06.2022 | | Дата актуализации описания: | 01.07.2023 | | Дата издания: | 19.01.2022 | | Дата введения: | 01.09.2022 | | Аутентичен стандартам: | IEC 62566(2012) | | Нормативные ссылки: | IEC 60671;IEC 60880(2006);IEC 60987(2021);IEC 61513(2011);IEC 62138(2018);IEC 62340;IAEA SSG-39 | | Область применения: | Настоящий стандарт устанавливает требования к разработке высоконадежных программируемых устройств (HDL-Programmed Devices, HPD) для использования в системах контроля и управления (СКУ) атомных станций (АС), выполняющих функции безопасности категории А, классифицированные согласно МЭК 61226. Программирование HPD выполняют с помощью языков описания аппаратных средств (Hardware Description Languages, HDL) и соответствующих программных инструментов. Как правило, в их основе лежат заготовки программируемых логических интегральных схем (ПЛИС) или подобные микроэлектронные технологии. Интегральные схемы общего назначения, например, микропроцессоры, не относятся к HPD. Требования, устанавливаемые настоящим стандартом, касаются: a) специальной разработки жизненного цикла, состоящей в рассмотрении каждого этапа разработки HPD, включая спецификацию требований, проектирование, реализацию, верификацию, интеграцию и валидацию; b) планировки и дополнительных операций, таких как модификация и производство; c) выбора предварительно разработанных компонентов, которые включают микроэлектронные ресурсы [например, заготовки программируемых логических интегральных схем (ПЛИС) или сложные программируемые логические устройства (СПЛУ)] и HDL-операторы, представляющие собой предварительно разработанные блоки (ПРБ); d) применения принципов упрощения и детерминирования, общепризнано имеющими первостепенное значение для достижения безотказной реализации функций категории А; e) инструментов, используемых для проектирования, реализации и верификации HPD. Настоящий стандарт не устанавливает требования к разработке микроэлектронных ресурсов, которые обычно являются коммерчески доступными компонентами и не разрабатываются по стандартам, относящимся к обеспечению качества работы ядерных установок. Стандарт обращен к разработкам микроэлектронных ресурсов для проектов СКУ, использующих HDL и соответствующие инструменты. В настоящем стандарте представлены рекомендации, позволяющие, насколько это возможно, избежать скрытых дефектов, остающихся в HPD, и снижать вероятность единичных отказов и возможных отказов по общей причине (ООП). Требования настоящего стандарта о наличии четкой и полной документации должны способствовать эффективному применению МЭК 62340. Настоящий стандарт не рассматривает вопрос надежности квалификации, основанной на воздействии на окружающую среду, а также отказы по причине старения или ухудшения физических характеристик. Эти вопросы рассмотрены в других стандартах, в частности, в МЭК 60987, МЭК 60780 и МЭК 62342 | |
                                            
|