| Обозначение: |  ГОСТ Р 59556-2021 |
| Статус: | действующий |
| Название рус.: | Измерения и управление в производственных процессах. Структуры и элементы данных в каталогах производственного оборудования. Часть 10. Перечни свойств для измерений и управления в производственных процессах для электронного обмена данными. Основные положения |
| Название англ.: | Industrial-process measurement and control. Data structures and elements in process equipment catalogues. Part 10. Lists of properties for industrial-process measurement and control for electronic data exchange. Fundamentals |
| Дата актуализации текста: | 01.06.2022 |
| Дата актуализации описания: | 01.07.2023 |
| Дата издания: | 29.11.2021 |
| Дата введения: | 30.04.2022 |
| Нормативные ссылки: | ГОСТ 14254-2015; ГОСТ Р ИСО 13584-25; ГОСТ Р ИСО 13584-42; ГОСТ Р 55340; ГОСТ Р 56213.5; ГОСТ Р 59557; ГОСТ Р 59558; ГОСТ Р 59559; ГОСТ Р МЭК 61360-2; ГОСТ Р МЭК 61987-1 |
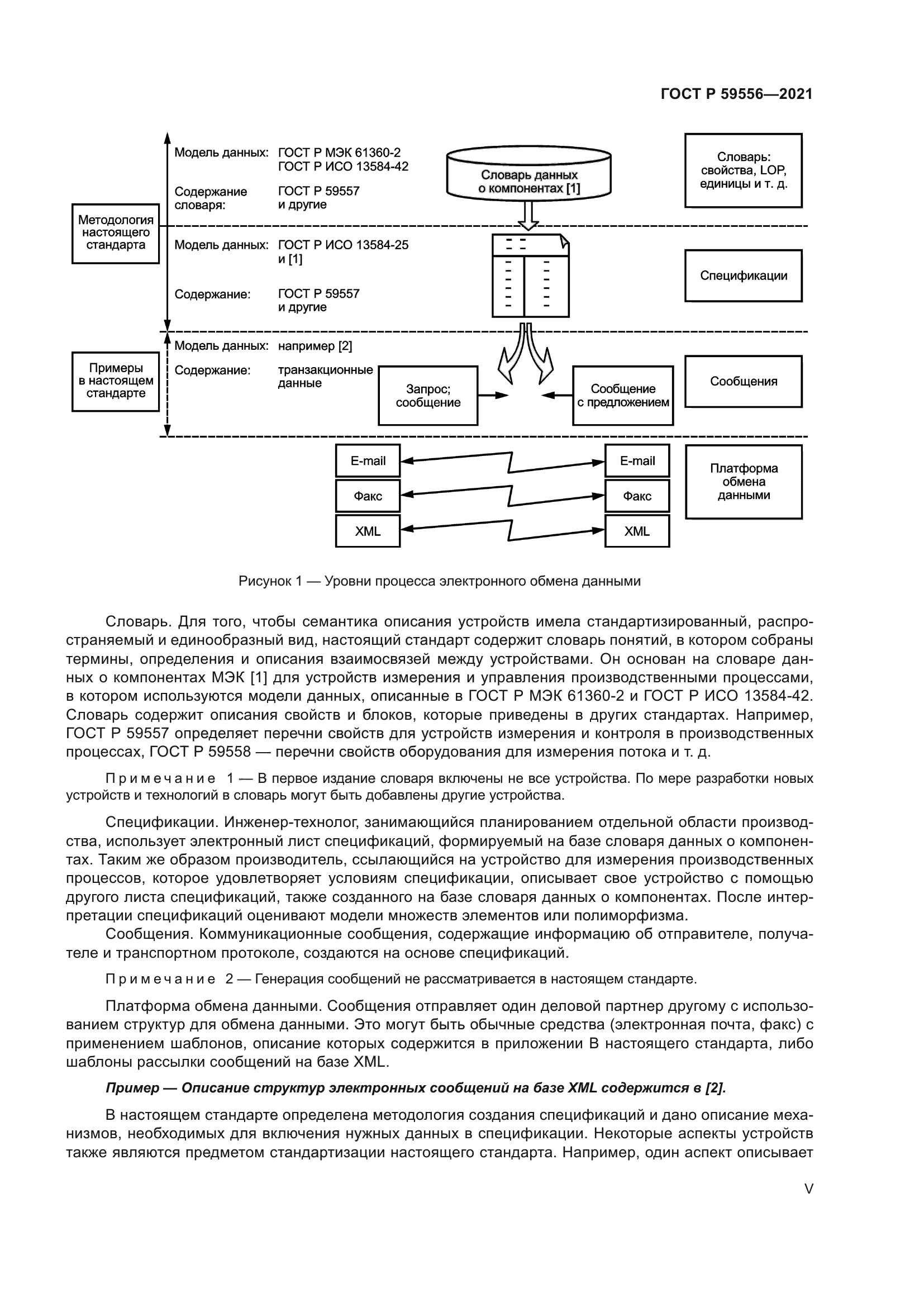
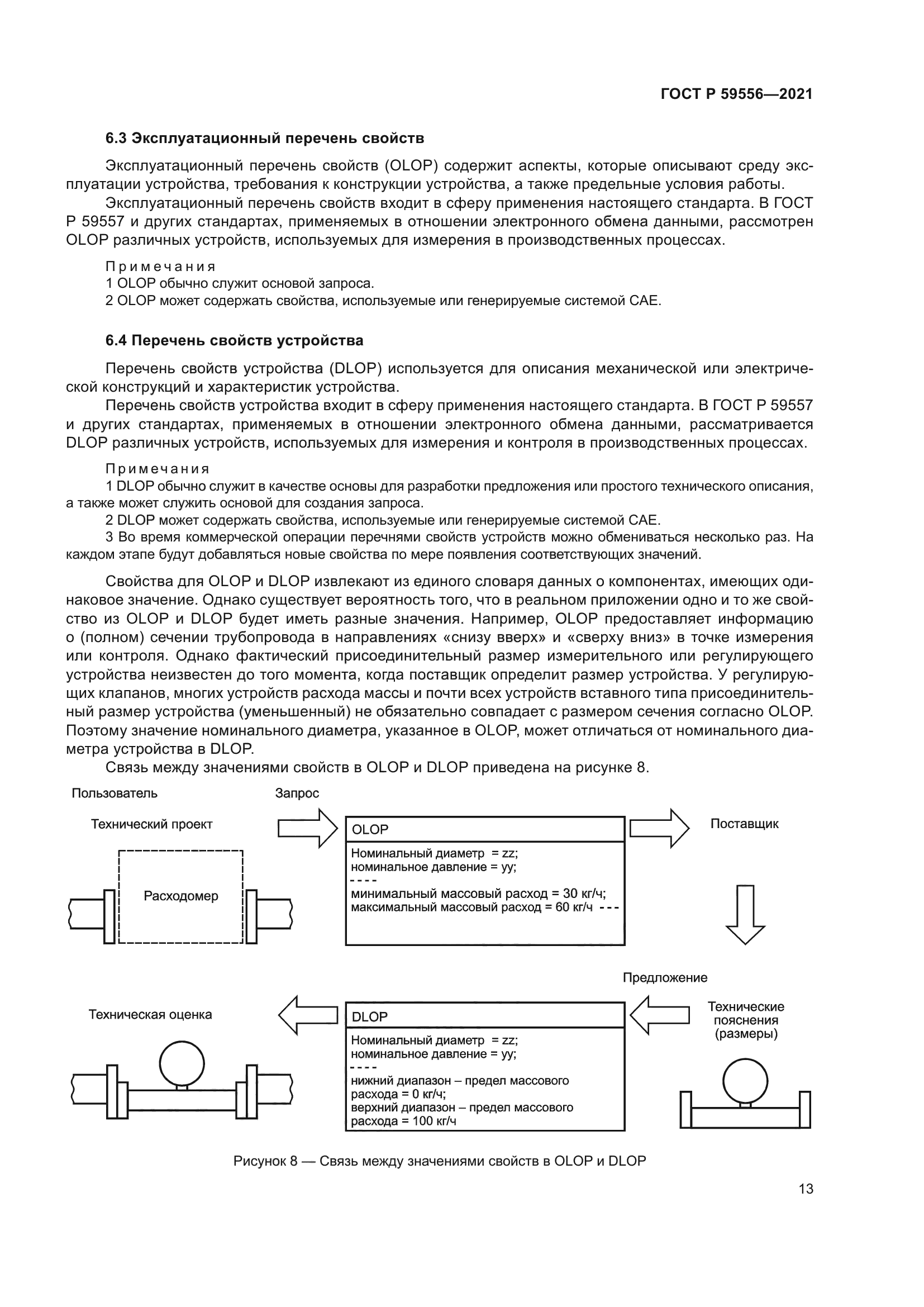
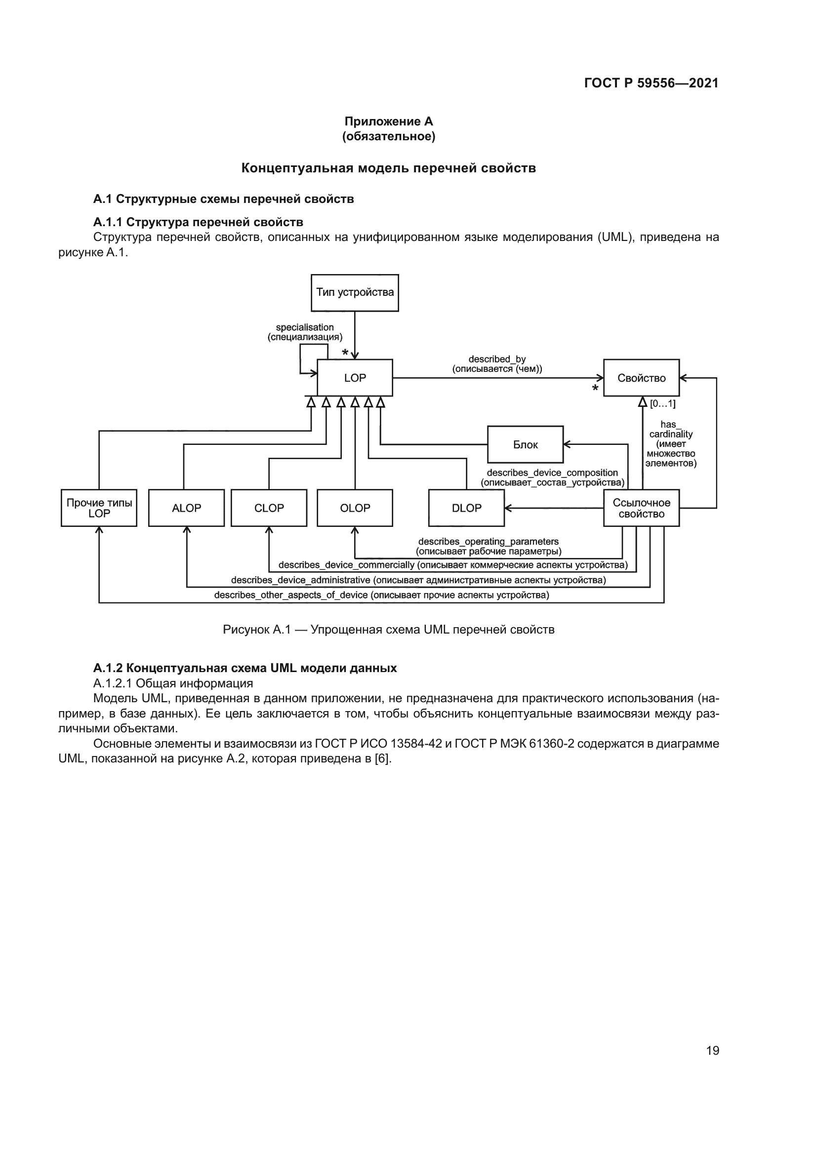
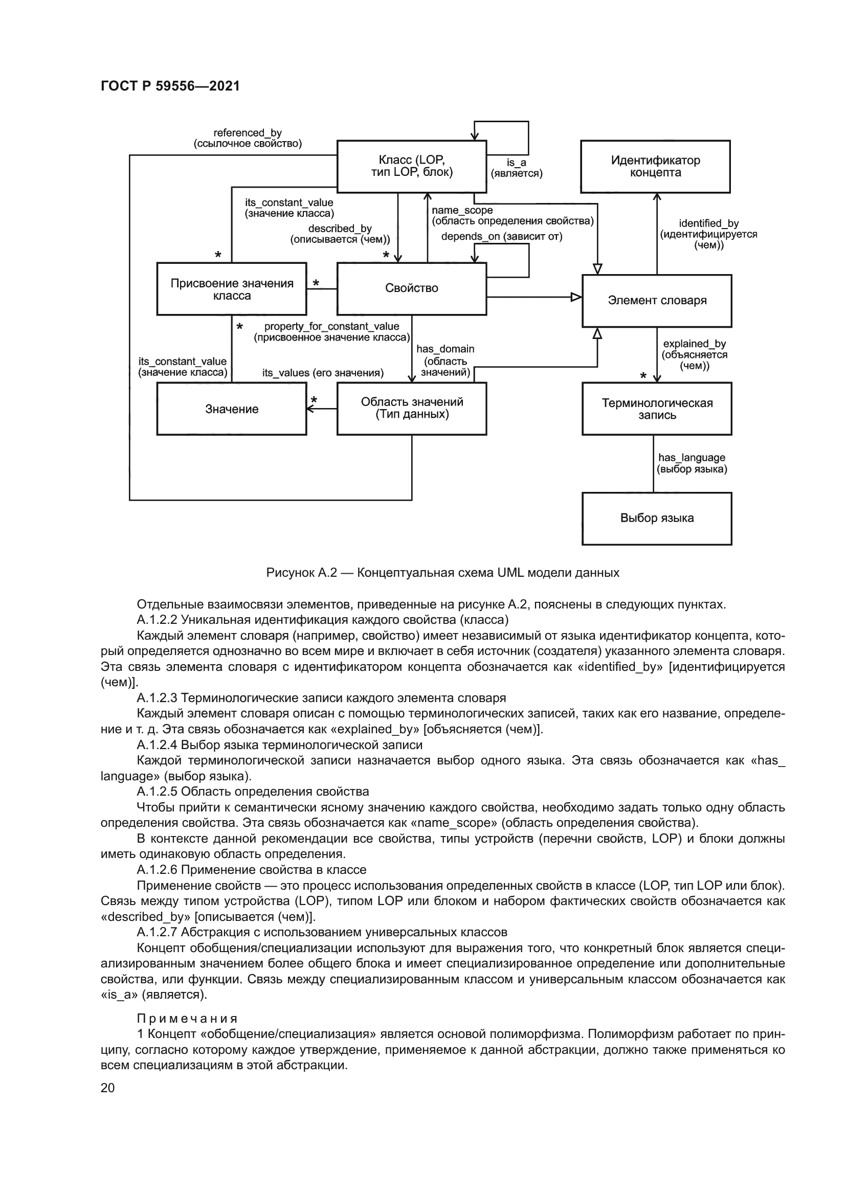
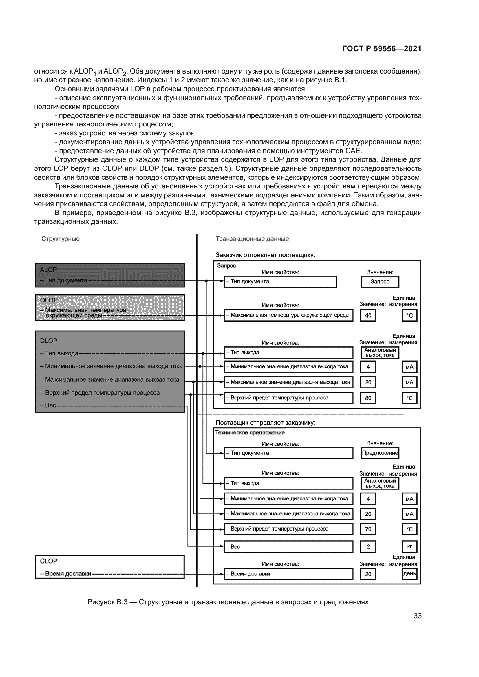
| Область применения: | Настоящий стандарт предоставляет метод стандартизации описаний устройств управления производственными процессами, контрольно-измерительных приборов и вспомогательного оборудования, а также режима их эксплуатации и эксплуатационных требований (например, данных спецификаций точек измерения). Целями настоящего стандарта являются: - создание общего языка для взаимодействия между заказчиками и поставщиками посредством публикации перечней свойств (LOP); - оптимизация рабочих процессов между заказчиками и поставщиками, а также таких процессов, как проектирование, разработка и закупки внутри организации; - снижение транзакционных издержек. Настоящий стандарт содержит описание различных типов промышленных устройств посредством структурированных перечней свойств и отражает соответствующие свойства в словаре данных о компонентах. Цель настоящего стандарта заключается в создании справочника с описаниями запроса, предложения, внутреннего описания компании, а также описания систем управления производственными процессами, контрольно-измерительного и вспомогательного оборудования на базе перечней свойств |
|