| Обозначение: |  ГОСТ Р 59772-2021 |
| Статус: | действующий |
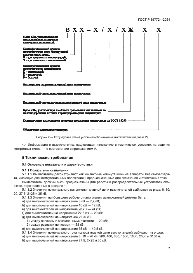
| Название рус.: | Выключатели переменного тока на напряжение от 6 до 35 кB для железнодорожных тяговых подстанций, трансформаторных подстанций и линейных устройств системы тягового железнодорожного электроснабжения. Общие технические условия |
| Название англ.: | A. c. сircuit-breakers for voltages from 6 to 35 kV for railway traction substations, transformer substations and railway power supply linear devices. General specifications |
| Дата актуализации текста: | 01.06.2022 |
| Дата актуализации описания: | 01.07.2023 |
| Дата издания: | 02.11.2021 |
| Дата введения: | 01.03.2022 |
| Нормативные ссылки: | ГОСТ 2.114-2016; ГОСТ 8.217; ГОСТ 9.032; ГОСТ 9.302; ГОСТ 9.401; ГОСТ 12.1.004; ГОСТ 12.1.007; ГОСТ 12.2.007.0-75; ГОСТ 12.2.007.3-75; ГОСТ 14.201-83; ГОСТ 15.309-98; ГОСТ 20.57.406-81; ГОСТ 27.003; ГОСТ 27.301; ГОСТ 166; ГОСТ 427; ГОСТ 3242; ГОСТ 5264; ГОСТ 6376; ГОСТ 7165; ГОСТ 7502; ГОСТ 7746; ГОСТ 8024-90; ГОСТ 8042; ГОСТ 8711; ГОСТ 9920; ГОСТ 10434; ГОСТ 13837; ГОСТ 14254; ГОСТ 14771; ГОСТ 15150-69; ГОСТ 16504; ГОСТ 16962.1-89; ГОСТ 16962.2-90; ГОСТ 17703; ГОСТ 18311; ГОСТ 18321-73; ГОСТ 18620-86; ГОСТ 21242; ГОСТ 23216-78; ГОСТ 23706; ГОСТ 24291; ГОСТ 24753; ГОСТ 30167-2014; ГОСТ 30331.1; ГОСТ 30631; ГОСТ 31818.11 ; ГОСТ 32192; ГОСТ 32895; ГОСТ 33242; ГОСТ 33477;ГОСТ IEC 60034-1 ; ГОСТ Р 8.568; ГОСТ Р 9.316; ГОСТ Р 51369-99; ГОСТ Р 55194 ; ГОСТ Р 55195-2012; ГОСТ Р 57121; ГОСТ Р ИСО 9001 |
| Область применения: | Настоящий стандарт распространяется на выключатели переменного тока промышленной частоты на напряжение от 6 до 35 кВ (далее – выключатели), предназначенные для эксплуатации на железнодорожных тяговых подстанциях, трансформаторных подстанциях и линейных устройствах системы тягового железнодорожного электроснабжения |
|