Скачать ГОСТ Р 59773-2021 Безопасность функциональная систем, связанных с безопасностью зданий и сооружений. Порядок применения комплекса стандартов ГОСТ 34332. Примеры расчетовДата актуализации: 01.06.2025 ГОСТ Р 59773-2021
Безопасность функциональная систем, связанных с безопасностью зданий и сооружений. Порядок применения комплекса стандартов ГОСТ 34332. Примеры расчетов
| Обозначение: |  ГОСТ Р 59773-2021 |
| Статус: | действующий |
| Название рус.: | Безопасность функциональная систем, связанных с безопасностью зданий и сооружений. Порядок применения комплекса стандартов ГОСТ 34332. Примеры расчетов | | Название англ.: | Functional safety of building/construction safety-related systems. Procedure for application of GOST 34332 set of standards. Examples of calculations | | Дата актуализации текста: | 01.06.2022 | | Дата актуализации описания: | 01.07.2023 | | Дата издания: | 12.11.2021 | | Дата введения: | 01.12.2021 | | Нормативные ссылки: | ГОСТ 34332.1-2017; ГОСТ 34332.2-2017; ГОСТ 34332.3-2021; ГОСТ 34332.4-2021; ГОСТ 34332.5-2021; ГОСТ 34100.3.1-2017; ГОСТ МЭК 61508-3-2018; ГОСТ Р 51901.12-2007; ГОСТ Р МЭК 61508-1-2012; ГОСТ Р МЭК 61508-2-2012 | | Область применения: | Настоящий стандарт содержит информацию и руководящие указания по применению требований, рекомендаций и справочных материалов к электрическим, электронным, программируемым электронным (Э/Э/ПЭ) системам, связанным с безопасностью зданий и сооружений (Э/Э/ПЭ СБЗС системам) и к программному обеспечению этих систем, установленных и представленных в комплексе стандартов ГОСТ 34332, а также примеры расчетов. Настоящий стандарт применяют совместно со стандартами комплекса ГОСТ 34332. Настоящий стандарт не распространяется на Э/Э/ПЭ СБЗС систему, которая является единственной одиночной системой, способной осуществить необходимое снижение риска на объекте, и требуемая полнота безопасности этой системы ниже, чем определено уровнем полноты безопасности (УПБ) 1 — самым низким уровнем, приведенным в ГОСТ 34332.2–2017 (таблицы 1 и 2). Настоящий стандарт рекомендуется для применения пользователями стандартов комплекса ГОСТ 34332 (юридическими и физическими лицами, чьи действия влияют на обеспечение функциональной безопасности Э/Э/ПЭ СБЗС систем и обеспечение безопасности и антитеррористической защищенности объектов на стадиях их жизненных циклов) | |
                                                                                                      
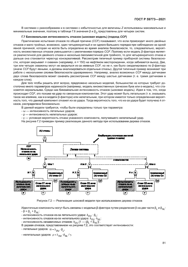
|