| Обозначение: |  ГОСТ Р 59730-2021 |
| Статус: | действующий |
| Название рус.: | Техническое обеспечение медицинской деятельности. Организация и учет |
| Название англ.: | Technical ensuring of medical activity. Organization and accounting |
| Дата актуализации текста: | 01.06.2022 |
| Дата актуализации описания: | 01.07.2023 |
| Дата издания: | 21.10.2021 |
| Дата введения: | 01.02.2022 |
| Нормативные ссылки: | ГОСТ ISO/IEC 17025; ГОСТ Р 8.568; ГОСТ Р 50571.28; ГОСТ Р 56606-2015; ГОСТ Р 58450-2019; ГОСТ Р 58451-2019; ГОСТ Р 58973; ГОСТ Р ИСО 7396-1 |
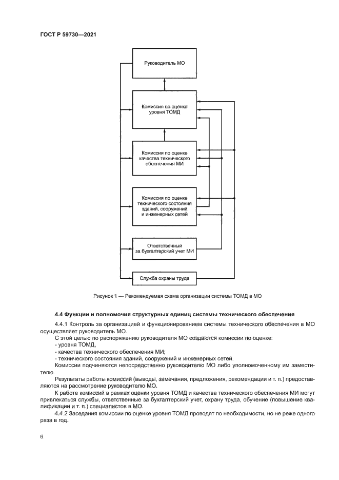
| Область применения: | Настоящий стандарт устанавливает основные положения по организации системы технического обеспечения медицинской деятельности в медицинских организациях. Настоящий стандарт содержит основные требования, применяемые к медицинским изделиям на этапах жизненного цикла, в том числе в процессе их эксплуатации, требования к условиям эксплуатации медицинских изделий, а также принципы оценки качества системы технического обеспечения в медицинской организации, в том числе в части организации внутреннего аудита качества медицинской помощи |
|