| Обозначение: |  ГОСТ Р 59589-2021 |
| Статус: | действующий |
| Название рус.: | Информационные технологии. Биометрия. Руководство по регистрации изображений отпечатков десяти пальцев рук контактным методом |
| Название англ.: | Information technology. Biometrics. Guideline for slap tenprint fingerprintture |
| Дата актуализации текста: | 01.06.2022 |
| Дата актуализации описания: | 01.07.2023 |
| Дата издания: | 14.07.2021 |
| Дата введения: | 01.09.2021 |
| Содержит требования: | ISO/IEC 20027:2018 |
| Нормативные ссылки: | ГОСТ ISO/IEC 2382-37; ГОСТ Р 58273; ГОСТ Р 58298-2018; ГОСТ Р 58667 |
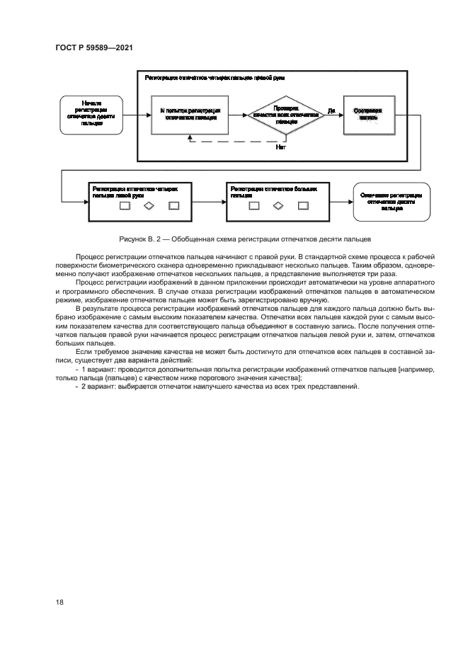
| Область применения: | В настоящем стандарте определены требования, которым необходимо следовать при регистрации изображений отпечатков десяти пальцев рук контактным методом. Представления, выполненные некооперативными пользователями, выходят за рамки настоящего стандарта. При использовании биометрических сканеров отпечатков пальцев, предназначенных для регистрации отпечатков десяти пальцев рук, необходимо знать, как их использовать и как получать изображения отпечатков пальцев с их помощью. Настоящий стандарт описывает наилучшие методики регистрации изображений отпечатков десяти пальцев рук. В настоящем стандарте содержатся рекомендации по: - аппаратному обеспечению биометрического сканера отпечатков пальцев и его применению; - инструкциям для пользователя; - регистрации изображений отпечатков десяти пальцев рук с примером последовательности действий; - прикладному программному обеспечению для разработчиков и системных интеграторов; - обработке, сжатию и кодированию полученных изображений отпечатков десяти пальцев рук; - условиям эксплуатации и записи данных;- оценке решения и его компонентов |
|