| Обозначение: |  ГОСТ Р 59545-2021 |
| Статус: | действующий |
| Название рус.: | Нанотехнологии. Наносуспензии для методов in vitro. Основные характеристики и методы измерений |
| Название англ.: | Nanotechnologies. Nanosuspensions for in vitro methods. Main characteristics and measurement methods |
| Дата актуализации текста: | 01.06.2022 |
| Дата актуализации описания: | 01.06.2022 |
| Дата издания: | 17.06.2021 |
| Дата введения: | 01.03.2022 |
| Аутентичен стандартам: | ISO/TS 19337:2016 |
| Нормативные ссылки: | ISO 29701 |
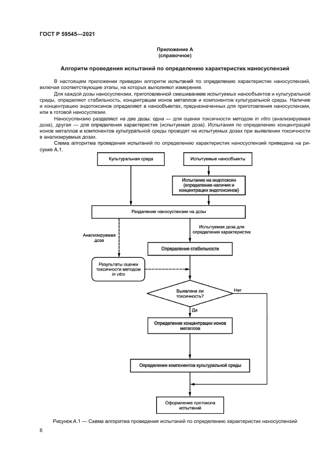
| Область применения: | Настоящий стандарт распространяется на рабочие суспензии, содержащие нанообъекты (наносуспензии) и применяемые в методах in vitro для оценки токсичности этих нанообъектов. Настоящий стандарт устанавливает перечень основных характеристик наносуспензий и содержит рекомендации по применению соответствующих методов измерений. Настоящий стандарт распространяется на наносуспензии, содержащие нанообъекты, их агрегаты и агломераты размерами более 100 нм |
|